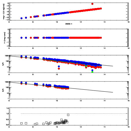
Left plots: red are targets, blue are telluric. Observed mags are calculated from median value of green chip. Zeropoint gives overall throughput: bigger number is more throughput.
First spatial plots: circles are objects, squares are tellurics, crosses are sky fibers. Colors give deviation of observed mag from expected 2MASS mag using the median zeropoint; red is brighter
Second spatial plots: circles are sky fibers. Colors give sky line brightness relative to plate median sky line brightness
FrameNreadsZeropointsMag plots Spatial mag deviation Spatial sky 16325A emission deviations (filled: sky, open: star) Spatial sky continuum emission Spatial sky telluric CO2 absorption deviations (filled: H < 10)
0 0
RedGreenBlue
z17.64
znorm Inf
sky -NaN -Inf -Inf
S/N 27.3 48.7 54.7
S/N(c) 0.0 0.0 0.0
SN(E/C) 0.21

IPAIRNAMESHIFTNEWSHIFTS/N NAMESHIFTNEWSHIFTS/N
0 04560049 0.497739 0.00000 19.1613 04560054 0.00139804 0.496341 19.1700
1 04560048 0.497012 0.000726998 19.1617 04560051 0.00133377 0.496405 19.1891
2 04560053 0.497727 1.19805e-05 19.1390 04560050 0.00110562 0.496633 19.1653
3 04560052 0.497530 0.000208974 19.1384 04560047 0.00000 0.497739 19.1435