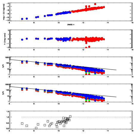
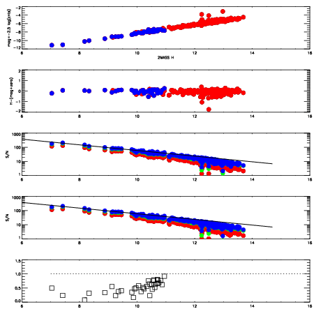
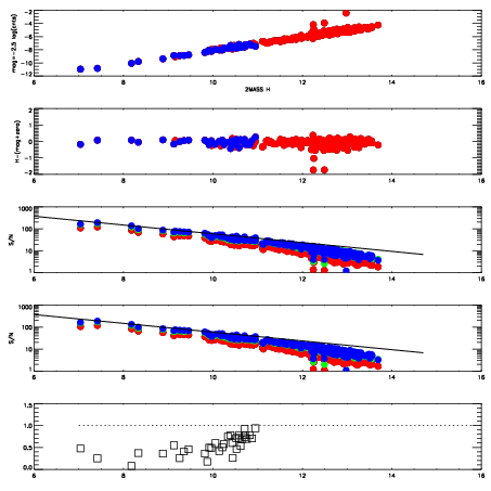
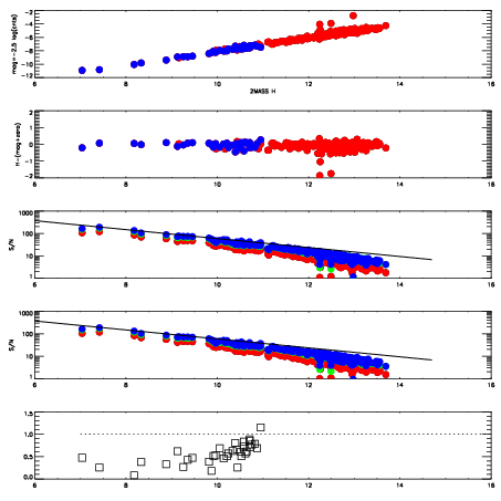
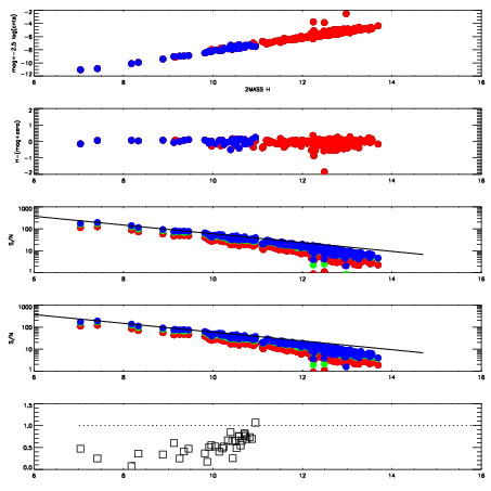
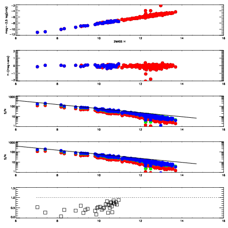
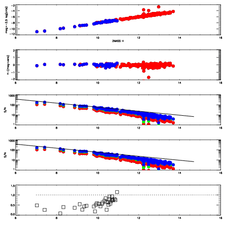
Frame | Nreads | Zeropoints | Mag plots
| Spatial mag deviation
| Spatial sky 16325A emission deviations (filled: sky, open: star)
| Spatial sky continuum emission
| Spatial sky telluric CO2 absorption deviations (filled: H < 10)
|
5170011
| 47
| | Red | Green | Blue
| z | | 18.19
| znorm | | 14.01
| sky | 14.1 | 14.0 | 13.8
| S/N | 8.8 | 15.4 | 15.2
| S/N(c) | 8.0 | 12.6 | 27.5
| SN(E/C) | 0.53
|
|
|
|
|
|
|
5170012
| 47
| | Red | Green | Blue
| z | | 18.16
| znorm | | 13.98
| sky | 14.1 | 14.0 | 14.0
| S/N | 8.3 | 14.3 | 14.6
| S/N(c) | 7.6 | 12.3 | 27.1
| SN(E/C) | 0.53
|
|
|
|
|
|
|
5170013
| 47
| | Red | Green | Blue
| z | | 18.16
| znorm | | 13.98
| sky | 14.0 | 14.0 | 13.9
| S/N | 8.4 | 14.2 | 14.6
| S/N(c) | 7.5 | 12.1 | 27.3
| SN(E/C) | 0.57
|
|
|
|
|
|
|
5170014
| 47
| | Red | Green | Blue
| z | | 18.36
| znorm | | 14.18
| sky | 14.1 | 14.0 | 14.1
| S/N | 9.7 | 16.4 | 16.8
| S/N(c) | 8.3 | 13.5 | 29.1
| SN(E/C) | 0.50
|
|
|
|
|
|
|
5170015
| 47
| | Red | Green | Blue
| z | | 18.36
| znorm | | 14.18
| sky | 14.2 | 14.0 | 14.0
| S/N | 9.8 | 16.7 | 16.6
| S/N(c) | 8.3 | 13.3 | 29.9
| SN(E/C) | 0.51
|
|
|
|
|
|
|
5170016
| 47
| | Red | Green | Blue
| z | | 18.12
| znorm | | 13.94
| sky | 14.1 | 14.1 | 14.0
| S/N | 8.0 | 13.8 | 13.9
| S/N(c) | 7.3 | 12.0 | 27.2
| SN(E/C) | 0.60
|
|
|
|
|
|
|
5170017
| 47
| | Red | Green | Blue
| z | | 18.22
| znorm | | 14.04
| sky | 14.2 | 14.0 | 14.1
| S/N | 9.0 | 15.2 | 15.4
| S/N(c) | 7.7 | 12.7 | 28.6
| SN(E/C) | 0.52
|
|
|
|
|
|
|
5170018
| 47
| | Red | Green | Blue
| z | | 18.10
| znorm | | 13.92
| sky | 14.0 | 13.9 | 13.9
| S/N | 7.6 | 13.5 | 13.7
| S/N(c) | 7.3 | 12.1 | 26.9
| SN(E/C) | 0.56
|
|
|
|
|
|
|