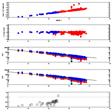
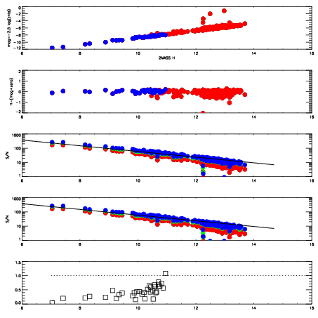
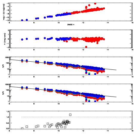
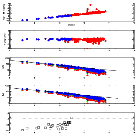
Frame | Nreads | Zeropoints | Mag plots
| Spatial mag deviation
| Spatial sky 16325A emission deviations (filled: sky, open: star)
| Spatial sky continuum emission
| Spatial sky telluric CO2 absorption deviations (filled: H < 10)
|
5220010
| 47
| | Red | Green | Blue
| z | | 18.47
| znorm | | 14.29
| sky | 13.1 | 13.0 | 12.9
| S/N | 9.2 | 16.3 | 16.9
| S/N(c) | 15.1 | 23.8 | 19.5
| SN(E/C) | 0.52
|
|
|
|
|
|
|
5220011
| 47
| | Red | Green | Blue
| z | | 18.86
| znorm | | 14.68
| sky | 14.2 | 14.2 | 14.5
| S/N | 13.7 | 22.7 | 24.5
| S/N(c) | 19.7 | 30.0 | 25.4
| SN(E/C) | 0.42
|
|
|
|
|
|
|
5220012
| 47
| | Red | Green | Blue
| z | | 18.92
| znorm | | 14.74
| sky | 14.4 | 14.4 | 14.6
| S/N | 14.0 | 24.3 | 26.4
| S/N(c) | 21.0 | 31.8 | 26.6
| SN(E/C) | 0.42
|
|
|
|
|
|
|
5220013
| 47
| | Red | Green | Blue
| z | | 18.75
| znorm | | 14.57
| sky | 14.5 | 14.5 | 14.8
| S/N | 12.2 | 21.9 | 23.7
| S/N(c) | 18.7 | 28.6 | 24.2
| SN(E/C) | 0.42
|
|
|
|
|
|
|
5220014
| 47
| | Red | Green | Blue
| z | | 18.93
| znorm | | 14.75
| sky | 14.4 | 14.4 | 14.7
| S/N | 13.5 | 23.2 | 25.3
| S/N(c) | 20.8 | 31.5 | 26.7
| SN(E/C) | 0.41
|
|
|
|
|
|
|
5220015
| 47
| | Red | Green | Blue
| z | | 18.98
| znorm | | 14.79
| sky | 14.7 | 14.6 | 14.7
| S/N | 14.0 | 24.1 | 26.0
| S/N(c) | 21.3 | 31.9 | 27.0
| SN(E/C) | 0.39
|
|
|
|
|
|
|
5220016
| 47
| | Red | Green | Blue
| z | | 18.88
| znorm | | 14.70
| sky | 14.6 | 14.6 | 14.8
| S/N | 13.6 | 22.9 | 24.6
| S/N(c) | 20.4 | 30.7 | 26.0
| SN(E/C) | 0.41
|
|
|
|
|
|
|
5220017
| 47
| | Red | Green | Blue
| z | | 18.86
| znorm | | 14.68
| sky | 14.7 | 14.6 | 14.8
| S/N | 12.5 | 22.4 | 23.8
| S/N(c) | 19.7 | 29.9 | 25.4
| SN(E/C) | 0.43
|
|
|
|
|
|
|