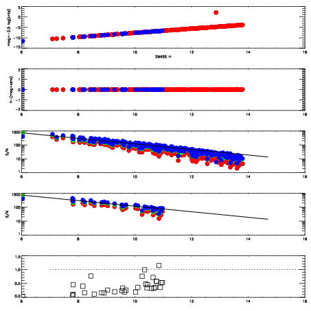
Left plots: red are targets, blue are telluric. Observed mags are calculated from median value of green chip. Zeropoint gives overall throughput: bigger number is more throughput.
First spatial plots: circles are objects, squares are tellurics, crosses are sky fibers. Colors give deviation of observed mag from expected 2MASS mag using the median zeropoint; red is brighter
Second spatial plots: circles are sky fibers. Colors give sky line brightness relative to plate median sky line brightness
FrameNreadsZeropointsMag plots Spatial mag deviation Spatial sky 16325A emission deviations (filled: sky, open: star) Spatial sky continuum emission Spatial sky telluric CO2 absorption deviations (filled: H < 10)
0 0
RedGreenBlue
z17.64
znorm Inf
sky -Inf -Inf -Inf
S/N 18.1 33.0 35.1
S/N(c) 0.0 0.0 0.0
SN(E/C) 0.34

IPAIRNAMESHIFTNEWSHIFTS/N NAMESHIFTNEWSHIFTS/N
0 03720088 0.512793 0.00000 18.6008 03720093 -0.00159352 0.514387 18.6223
1 03720091 0.510558 0.00223500 18.7507 03720090 -0.00231943 0.515112 18.7219
2 03720092 0.511351 0.00144202 18.6487 03720089 -0.000685149 0.513478 18.6978
3 03720087 0.506889 0.00590402 18.5236 03720086 0.00000 0.512793 18.4358