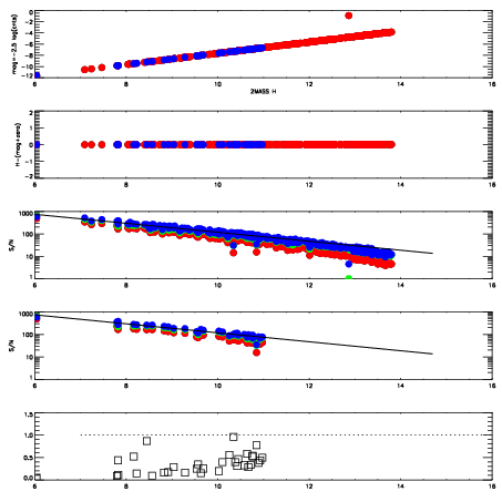
Left plots: red are targets, blue are telluric. Observed mags are calculated from median value of green chip. Zeropoint gives overall throughput: bigger number is more throughput.
First spatial plots: circles are objects, squares are tellurics, crosses are sky fibers. Colors give deviation of observed mag from expected 2MASS mag using the median zeropoint; red is brighter
Second spatial plots: circles are sky fibers. Colors give sky line brightness relative to plate median sky line brightness
FrameNreadsZeropointsMag plots Spatial mag deviation Spatial sky 16325A emission deviations (filled: sky, open: star) Spatial sky continuum emission Spatial sky telluric CO2 absorption deviations (filled: H < 10)
0 0
RedGreenBlue
z17.64
znorm Inf
sky -NaN -NaN -Inf
S/N 19.6 35.9 38.0
S/N(c) 0.0 0.0 0.0
SN(E/C) 0.33

IPAIRNAMESHIFTNEWSHIFTS/N NAMESHIFTNEWSHIFTS/N
0 04570031 0.504677 0.00000 18.3020 04570029 -0.00255227 0.507229 18.5762
1 04570027 0.500907 0.00376999 18.7539 04570028 -0.00167976 0.506357 18.7112
2 04570026 0.500964 0.00371301 18.6233 04570025 0.00000 0.504677 18.6902
3 04570030 0.499845 0.00483200 18.3002 04570032 -2.84180e-05 0.504705 18.3433