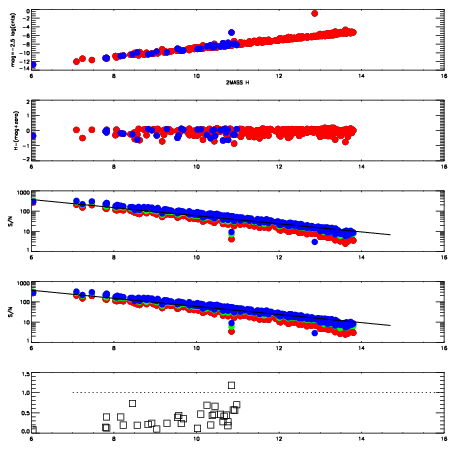
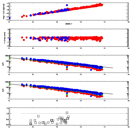
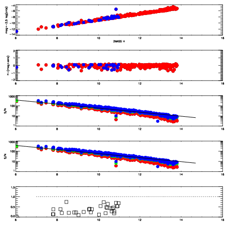
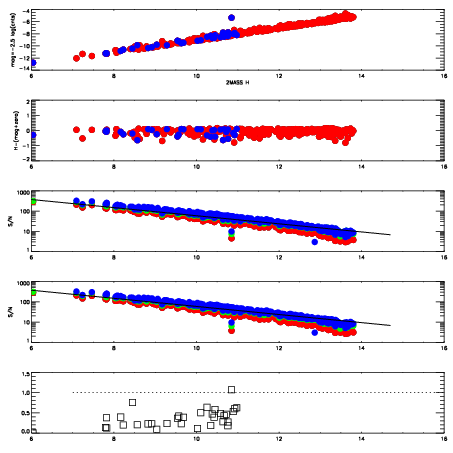
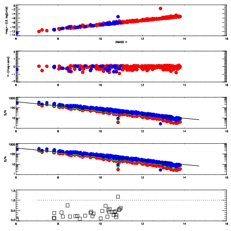
Frame | Nreads | Zeropoints | Mag plots
| Spatial mag deviation
| Spatial sky 16325A emission deviations (filled: sky, open: star)
| Spatial sky continuum emission
| Spatial sky telluric CO2 absorption deviations (filled: H < 10)
|
5180011
| 47
| | Red | Green | Blue
| z | | 19.03
| znorm | | 14.85
| sky | 13.5 | 13.5 | 13.3
| S/N | 14.5 | 24.1 | 23.7
| S/N(c) | 27.4 | 36.7 | 16.6
| SN(E/C) | 0.35
|
|
|
|
|
|
|
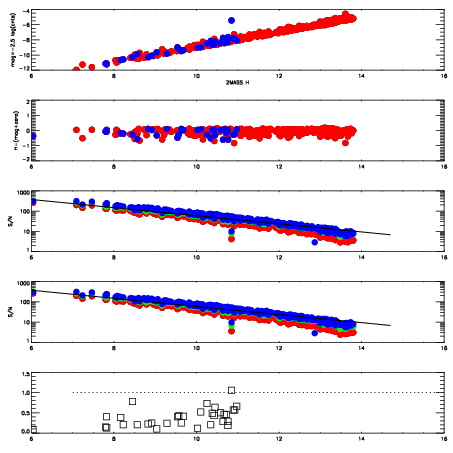
5180012
| 47
| | Red | Green | Blue
| z | | 19.04
| znorm | | 14.86
| sky | 13.7 | 13.6 | 13.6
| S/N | 14.4 | 24.1 | 24.2
| S/N(c) | 27.4 | 36.6 | 16.3
| SN(E/C) | 0.37
|
|
|
|
|
|
|
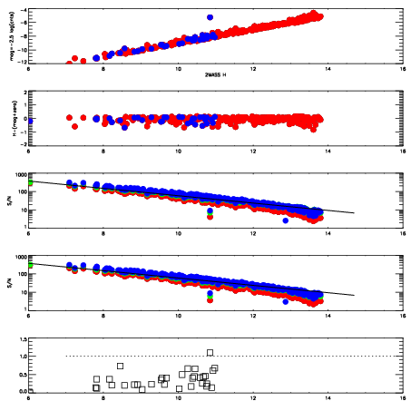
5180013
| 47
| | Red | Green | Blue
| z | | 19.03
| znorm | | 14.85
| sky | 13.6 | 13.6 | 13.5
| S/N | 14.1 | 23.8 | 23.7
| S/N(c) | 27.0 | 36.4 | 16.0
| SN(E/C) | 0.38
|
|
|
|
|
|
|
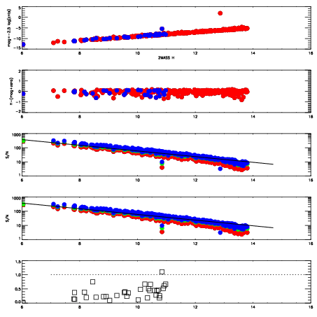
5180014
| 47
| | Red | Green | Blue
| z | | 19.09
| znorm | | 14.91
| sky | 13.7 | 13.6 | 13.7
| S/N | 14.2 | 24.7 | 24.9
| S/N(c) | 28.2 | 37.5 | 16.5
| SN(E/C) | 0.38
|
|
|
|
|
|
|
5180015
| 47
| | Red | Green | Blue
| z | | 19.07
| znorm | | 14.89
| sky | 13.7 | 13.6 | 13.7
| S/N | 14.2 | 24.1 | 24.9
| S/N(c) | 27.7 | 37.0 | 16.6
| SN(E/C) | 0.39
|
|
|
|
|
|
|
5180016
| 47
| | Red | Green | Blue
| z | | 19.07
| znorm | | 14.89
| sky | 13.8 | 13.7 | 13.7
| S/N | 14.4 | 24.2 | 25.1
| S/N(c) | 28.0 | 37.0 | 16.8
| SN(E/C) | 0.39
|
|
|
|
|
|
|
5180017
| 47
| | Red | Green | Blue
| z | | 19.09
| znorm | | 14.91
| sky | 13.8 | 13.7 | 13.7
| S/N | 14.6 | 24.2 | 25.1
| S/N(c) | 28.3 | 37.3 | 17.0
| SN(E/C) | 0.38
|
|
|
|
|
|
|
5180018
| 47
| | Red | Green | Blue
| z | | 19.00
| znorm | | 14.82
| sky | 13.7 | 13.7 | 13.7
| S/N | 13.6 | 22.8 | 24.1
| S/N(c) | 27.1 | 35.9 | 16.3
| SN(E/C) | 0.40
|
|
|
|
|
|
|