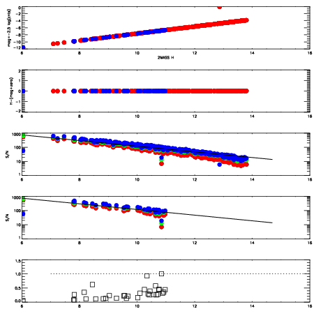
Left plots: red are targets, blue are telluric. Observed mags are calculated from median value of green chip. Zeropoint gives overall throughput: bigger number is more throughput.
First spatial plots: circles are objects, squares are tellurics, crosses are sky fibers. Colors give deviation of observed mag from expected 2MASS mag using the median zeropoint; red is brighter
Second spatial plots: circles are sky fibers. Colors give sky line brightness relative to plate median sky line brightness
FrameNreadsZeropointsMag plots Spatial mag deviation Spatial sky 16325A emission deviations (filled: sky, open: star) Spatial sky continuum emission Spatial sky telluric CO2 absorption deviations (filled: H < 10)
0 0
RedGreenBlue
z17.64
znorm Inf
sky -Inf -Inf -Inf
S/N 25.6 44.2 46.2
S/N(c) 0.0 0.0 0.0
SN(E/C) 0.26

IPAIRNAMESHIFTNEWSHIFTS/N NAMESHIFTNEWSHIFTS/N
0 05180017 0.495384 0.00000 19.0624 05180014 0.000527852 0.494856 19.0660
1 05180016 0.495259 0.000125021 19.0377 05180015 -0.000276999 0.495661 19.0459
2 05180012 0.494279 0.00110501 19.0136 05180011 0.00000 0.495384 19.0094
3 05180013 0.495187 0.000196993 19.0042 05180018 -0.00153342 0.496917 18.9849