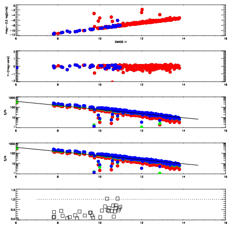
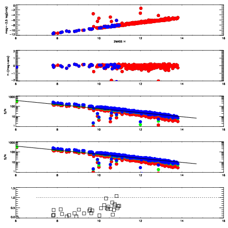
Frame | Nreads | Zeropoints | Mag plots
| Spatial mag deviation
| Spatial sky 16325A emission deviations (filled: sky, open: star)
| Spatial sky continuum emission
| Spatial sky telluric CO2 absorption deviations (filled: H < 10)
|
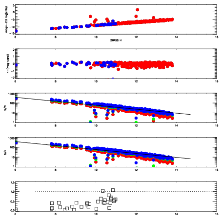
5200010
| 47
| | Red | Green | Blue
| z | | 19.00
| znorm | | 14.82
| sky | 13.9 | 13.8 | 13.7
| S/N | 14.0 | 22.4 | 23.4
| S/N(c) | 15.9 | 20.7 | 22.2
| SN(E/C) | 0.41
|
|
|
|
|
|
|
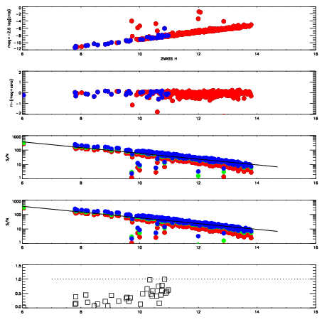
5200011
| 47
| | Red | Green | Blue
| z | | 19.01
| znorm | | 14.83
| sky | 14.0 | 14.0 | 13.9
| S/N | 14.3 | 22.6 | 24.2
| S/N(c) | 15.8 | 20.6 | 22.4
| SN(E/C) | 0.42
|
|
|
|
|
|
|
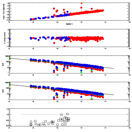
5200012
| 47
| | Red | Green | Blue
| z | | 19.12
| znorm | | 14.94
| sky | 14.1 | 14.0 | 14.1
| S/N | 15.6 | 23.8 | 25.9
| S/N(c) | 16.8 | 22.1 | 23.6
| SN(E/C) | 0.40
|
|
|
|
|
|
|
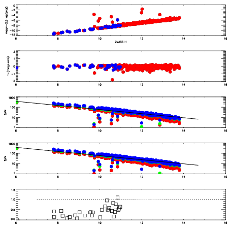
5200013
| 47
| | Red | Green | Blue
| z | | 19.12
| znorm | | 14.94
| sky | 14.2 | 14.2 | 14.2
| S/N | 15.1 | 23.3 | 26.0
| S/N(c) | 16.6 | 21.9 | 23.6
| SN(E/C) | 0.40
|
|
|
|
|
|
|
5200014
| 47
| | Red | Green | Blue
| z | | 19.09
| znorm | | 14.91
| sky | 14.2 | 14.2 | 14.3
| S/N | 14.9 | 23.4 | 25.8
| S/N(c) | 16.5 | 21.8 | 23.4
| SN(E/C) | 0.41
|
|
|
|
|
|
|
5200015
| 47
| | Red | Green | Blue
| z | | 19.10
| znorm | | 14.92
| sky | 14.2 | 14.1 | 14.2
| S/N | 14.5 | 22.9 | 25.9
| S/N(c) | 16.4 | 21.5 | 23.3
| SN(E/C) | 0.39
|
|
|
|
|
|
|
5200016
| 47
| | Red | Green | Blue
| z | | 19.12
| znorm | | 14.94
| sky | 14.2 | 14.1 | 14.2
| S/N | 14.5 | 22.9 | 26.2
| S/N(c) | 16.5 | 22.0 | 23.4
| SN(E/C) | 0.37
|
|
|
|
|
|
|
5200017
| 47
| | Red | Green | Blue
| z | | 19.10
| znorm | | 14.92
| sky | 14.2 | 14.2 | 14.2
| S/N | 14.5 | 23.1 | 25.4
| S/N(c) | 16.1 | 21.6 | 23.5
| SN(E/C) | 0.41
|
|
|
|
|
|
|