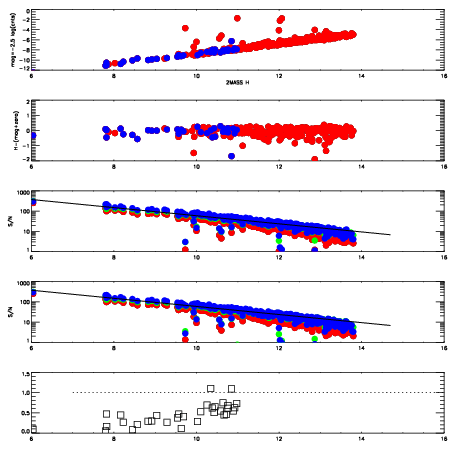
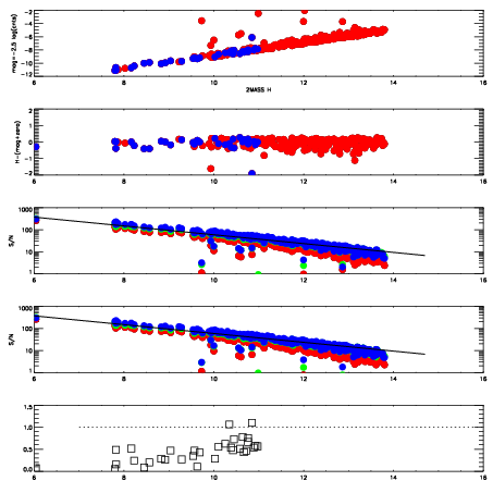
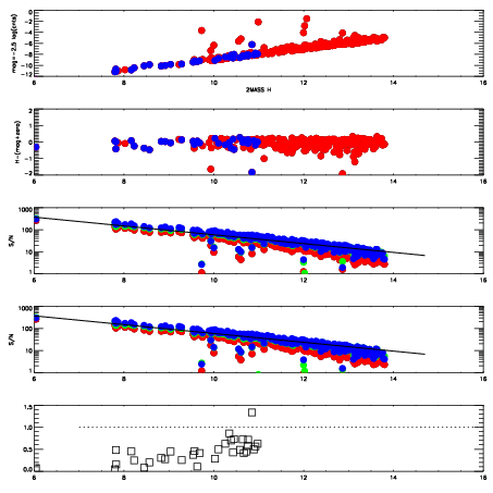
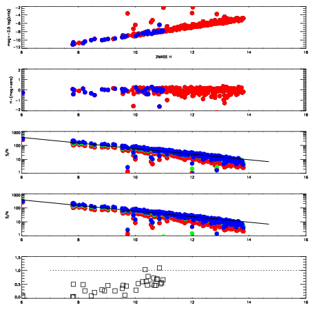
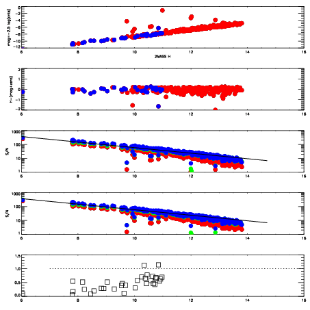
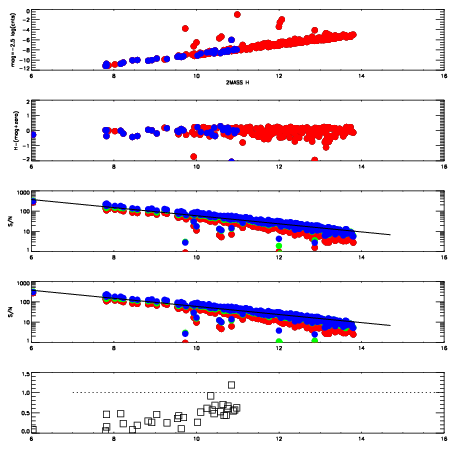
Frame | Nreads | Zeropoints | Mag plots
| Spatial mag deviation
| Spatial sky 16325A emission deviations (filled: sky, open: star)
| Spatial sky continuum emission
| Spatial sky telluric CO2 absorption deviations (filled: H < 10)
|
7920044
| 47
| | Red | Green | Blue
| z | | 18.80
| znorm | | 14.62
| sky | 15.0 | 14.8 | 14.8
| S/N | 11.7 | 20.1 | 20.5
| S/N(c) | 21.0 | 19.9 | 21.6
| SN(E/C) | 0.46
|
|
|
|
|
|
|
7920045
| 47
| | Red | Green | Blue
| z | | 18.81
| znorm | | 14.63
| sky | 15.4 | 15.0 | 15.3
| S/N | 11.9 | 20.5 | 20.8
| S/N(c) | 21.1 | 20.5 | 21.7
| SN(E/C) | 0.46
|
|
|
|
|
|
|
7920046
| 47
| | Red | Green | Blue
| z | | 18.90
| znorm | | 14.72
| sky | 15.2 | 15.2 | 15.7
| S/N | 13.0 | 21.8 | 22.5
| S/N(c) | 22.2 | 21.3 | 22.0
| SN(E/C) | 0.45
|
|
|
|
|
|
|
7920047
| 47
| | Red | Green | Blue
| z | | 18.94
| znorm | | 14.76
| sky | 15.3 | 15.3 | 15.5
| S/N | 13.0 | 22.3 | 23.2
| S/N(c) | 22.8 | 21.6 | 22.8
| SN(E/C) | 0.46
|
|
|
|
|
|
|
7920048
| 47
| | Red | Green | Blue
| z | | 18.86
| znorm | | 14.68
| sky | 15.2 | 15.1 | 15.5
| S/N | 12.7 | 21.4 | 22.4
| S/N(c) | 21.5 | 20.6 | 21.9
| SN(E/C) | 0.47
|
|
|
|
|
|
|
7920049
| 47
| | Red | Green | Blue
| z | | 18.92
| znorm | | 14.74
| sky | 15.1 | 15.2 | 15.6
| S/N | 13.7 | 22.0 | 23.7
| S/N(c) | 22.4 | 21.4 | 22.6
| SN(E/C) | 0.46
|
|
|
|
|
|
|
7920050
| 47
| | Red | Green | Blue
| z | | 18.73
| znorm | | 14.55
| sky | 15.3 | 15.3 | 15.5
| S/N | 12.1 | 20.0 | 21.5
| S/N(c) | 20.6 | 19.4 | 20.9
| SN(E/C) | 0.46
|
|
|
|
|
|
|
7920051
| 47
| | Red | Green | Blue
| z | | 19.01
| znorm | | 14.83
| sky | 15.3 | 15.4 | 15.5
| S/N | 14.6 | 23.0 | 25.1
| S/N(c) | 24.0 | 22.2 | 23.9
| SN(E/C) | 0.42
|
|
|
|
|
|
|