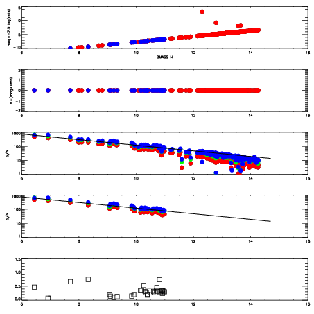
Left plots: red are targets, blue are telluric. Observed mags are calculated from median value of green chip. Zeropoint gives overall throughput: bigger number is more throughput.
First spatial plots: circles are objects, squares are tellurics, crosses are sky fibers. Colors give deviation of observed mag from expected 2MASS mag using the median zeropoint; red is brighter
Second spatial plots: circles are sky fibers. Colors give sky line brightness relative to plate median sky line brightness
FrameNreadsZeropointsMag plots Spatial mag deviation Spatial sky 16325A emission deviations (filled: sky, open: star) Spatial sky continuum emission Spatial sky telluric CO2 absorption deviations (filled: H < 10)
0 0
RedGreenBlue
z17.64
znorm Inf
sky -NaN -NaN -Inf
S/N 17.4 31.8 34.1
S/N(c) 24.6 24.3 43.9
SN(E/C) 0.31

IPAIRNAMESHIFTNEWSHIFTS/N NAMESHIFTNEWSHIFTS/N
0 03750098 0.503992 0.00000 18.8236 03750095 0.000609665 0.503382 18.7887
1 03750094 0.503294 0.000698030 18.8884 03750099 0.00246706 0.501525 18.8535
2 03750097 0.503269 0.000723004 18.8022 03750092 0.00000 0.503992 18.7719
3 03750093 0.502082 0.00191003 18.7313 03750096 -0.000152150 0.504144 18.7446