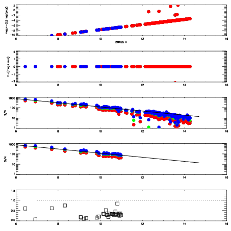
Left plots: red are targets, blue are telluric. Observed mags are calculated from median value of green chip. Zeropoint gives overall throughput: bigger number is more throughput.
First spatial plots: circles are objects, squares are tellurics, crosses are sky fibers. Colors give deviation of observed mag from expected 2MASS mag using the median zeropoint; red is brighter
Second spatial plots: circles are sky fibers. Colors give sky line brightness relative to plate median sky line brightness
FrameNreadsZeropointsMag plots Spatial mag deviation Spatial sky 16325A emission deviations (filled: sky, open: star) Spatial sky continuum emission Spatial sky telluric CO2 absorption deviations (filled: H < 10)
0 0
RedGreenBlue
z17.64
znorm Inf
sky -NaN -NaN -Inf
S/N 17.6 32.7 34.1
S/N(c) 23.9 24.5 43.1
SN(E/C) 0.31

IPAIRNAMESHIFTNEWSHIFTS/N NAMESHIFTNEWSHIFTS/N
0 03770064 0.510672 0.00000 18.7370 03770058 0.00000 0.510672 18.7668
1 03770060 0.507376 0.00329596 18.9052 03770065 0.00639233 0.504280 18.8598
2 03770063 0.509450 0.00122195 18.8091 03770061 0.00259555 0.508076 18.8025
3 03770059 0.507382 0.00329000 18.7837 03770062 0.00363619 0.507036 18.7754