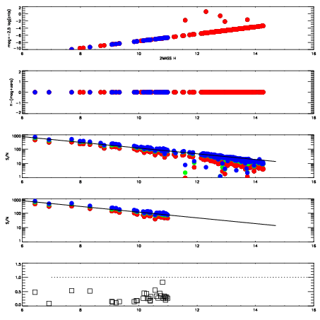
Left plots: red are targets, blue are telluric. Observed mags are calculated from median value of green chip. Zeropoint gives overall throughput: bigger number is more throughput.
First spatial plots: circles are objects, squares are tellurics, crosses are sky fibers. Colors give deviation of observed mag from expected 2MASS mag using the median zeropoint; red is brighter
Second spatial plots: circles are sky fibers. Colors give sky line brightness relative to plate median sky line brightness
FrameNreadsZeropointsMag plots Spatial mag deviation Spatial sky 16325A emission deviations (filled: sky, open: star) Spatial sky continuum emission Spatial sky telluric CO2 absorption deviations (filled: H < 10)
0 0
RedGreenBlue
z17.64
znorm Inf
sky -Inf -Inf -Inf
S/N 25.4 43.2 45.0
S/N(c) 25.7 39.5 22.2
SN(E/C) 0.27

IPAIRNAMESHIFTNEWSHIFTS/N NAMESHIFTNEWSHIFTS/N
0 04890027 0.492289 0.00000 18.9278 04890028 0.00268734 0.489602 18.9320
1 04890031 0.492038 0.000250995 18.9896 04890029 0.000472790 0.491816 18.9709
2 04890030 0.489996 0.00229302 18.9861 04890032 0.00273099 0.489558 18.9528
3 04890026 0.491327 0.000962019 18.9101 04890025 0.00000 0.492289 18.8267