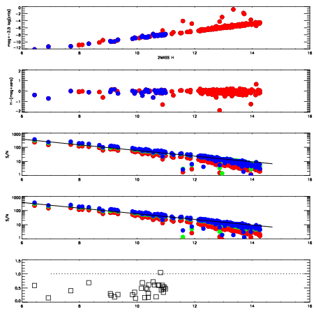
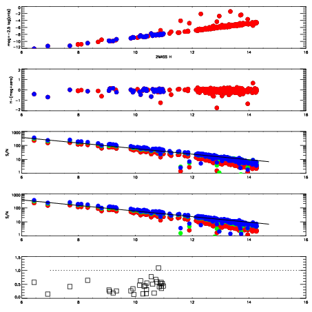
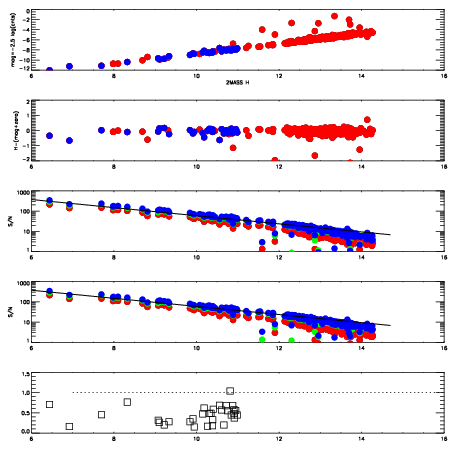
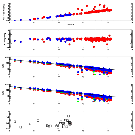
Frame | Nreads | Zeropoints | Mag plots
| Spatial mag deviation
| Spatial sky 16325A emission deviations (filled: sky, open: star)
| Spatial sky continuum emission
| Spatial sky telluric CO2 absorption deviations (filled: H < 10)
|
4900025
| 47
| | Red | Green | Blue
| z | | 18.57
| znorm | | 14.39
| sky | 14.6 | 14.3 | 14.2
| S/N | 11.6 | 19.0 | 20.2
| S/N(c) | 14.4 | 22.3 | 11.7
| SN(E/C) | 0.52
|
|
|
|
|
|
|
4900026
| 47
| | Red | Green | Blue
| z | | 18.44
| znorm | | 14.26
| sky | 14.7 | 14.4 | 14.5
| S/N | 10.8 | 17.9 | 19.1
| S/N(c) | 13.7 | 21.4 | 11.3
| SN(E/C) | 0.53
|
|
|
|
|
|
|
4900027
| 47
| | Red | Green | Blue
| z | | 18.80
| znorm | | 14.62
| sky | 14.6 | 14.4 | 14.5
| S/N | 13.3 | 21.7 | 22.9
| S/N(c) | 16.5 | 25.0 | 13.4
| SN(E/C) | 0.47
|
|
|
|
|
|
|
4900028
| 47
| | Red | Green | Blue
| z | | 18.91
| znorm | | 14.73
| sky | 14.5 | 14.4 | 14.4
| S/N | 13.7 | 22.9 | 24.2
| S/N(c) | 17.3 | 26.3 | 14.1
| SN(E/C) | 0.46
|
|
|
|
|
|
|
4900029
| 47
| | Red | Green | Blue
| z | | 18.95
| znorm | | 14.77
| sky | 14.6 | 14.5 | 14.3
| S/N | 14.3 | 23.2 | 24.5
| S/N(c) | 18.1 | 27.0 | 14.4
| SN(E/C) | 0.44
|
|
|
|
|
|
|
4900030
| 47
| | Red | Green | Blue
| z | | 18.84
| znorm | | 14.66
| sky | 14.5 | 14.3 | 14.3
| S/N | 13.4 | 22.3 | 23.5
| S/N(c) | 16.9 | 25.8 | 14.0
| SN(E/C) | 0.48
|
|
|
|
|
|
|
4900031
| 47
| | Red | Green | Blue
| z | | 18.94
| znorm | | 14.76
| sky | 14.4 | 14.4 | 14.2
| S/N | 14.1 | 23.4 | 24.5
| S/N(c) | 18.0 | 27.0 | 14.6
| SN(E/C) | 0.46
|
|
|
|
|
|
|
4900032
| 47
| | Red | Green | Blue
| z | | 18.94
| znorm | | 14.76
| sky | 14.5 | 14.4 | 14.3
| S/N | 14.5 | 23.4 | 24.7
| S/N(c) | 17.7 | 26.7 | 14.5
| SN(E/C) | 0.46
|
|
|
|
|
|
|