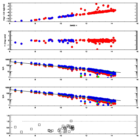
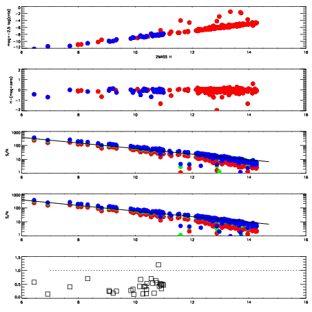
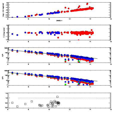
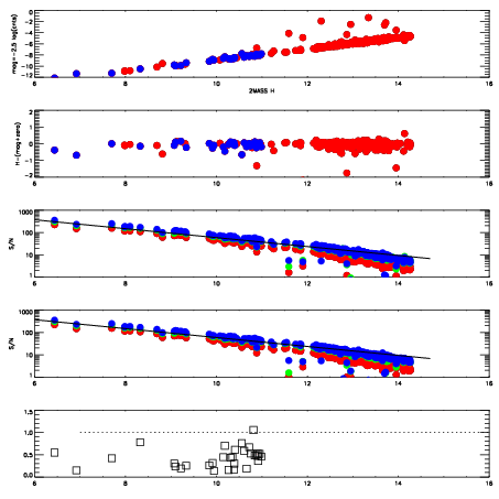
Frame | Nreads | Zeropoints | Mag plots
| Spatial mag deviation
| Spatial sky 16325A emission deviations (filled: sky, open: star)
| Spatial sky continuum emission
| Spatial sky telluric CO2 absorption deviations (filled: H < 10)
|
4910025
| 47
| | Red | Green | Blue
| z | | 18.77
| znorm | | 14.59
| sky | 14.6 | 14.3 | 14.3
| S/N | 12.9 | 21.6 | 24.9
| S/N(c) | 16.5 | 24.3 | 12.7
| SN(E/C) | 0.47
|
|
|
|
|
|
|
4910026
| 47
| | Red | Green | Blue
| z | | 18.81
| znorm | | 14.63
| sky | 14.6 | 14.5 | 14.6
| S/N | 13.3 | 22.0 | 25.5
| S/N(c) | 16.4 | 25.1 | 13.1
| SN(E/C) | 0.47
|
|
|
|
|
|
|
4910027
| 47
| | Red | Green | Blue
| z | | 18.95
| znorm | | 14.77
| sky | 14.7 | 14.5 | 14.6
| S/N | 14.4 | 23.6 | 27.3
| S/N(c) | 17.9 | 26.6 | 14.2
| SN(E/C) | 0.45
|
|
|
|
|
|
|
4910028
| 47
| | Red | Green | Blue
| z | | 18.95
| znorm | | 14.77
| sky | 14.8 | 14.6 | 14.5
| S/N | 14.3 | 23.5 | 26.9
| S/N(c) | 17.6 | 26.7 | 14.3
| SN(E/C) | 0.45
|
|
|
|
|
|
|
4910029
| 47
| | Red | Green | Blue
| z | | 19.00
| znorm | | 14.82
| sky | 14.5 | 14.4 | 14.5
| S/N | 14.8 | 24.2 | 27.4
| S/N(c) | 18.0 | 27.3 | 14.7
| SN(E/C) | 0.43
|
|
|
|
|
|
|
4910030
| 47
| | Red | Green | Blue
| z | | 18.95
| znorm | | 14.77
| sky | 14.6 | 14.5 | 14.5
| S/N | 14.4 | 23.7 | 26.7
| S/N(c) | 17.9 | 27.0 | 14.6
| SN(E/C) | 0.45
|
|
|
|
|
|
|
4910031
| 47
| | Red | Green | Blue
| z | | 19.02
| znorm | | 14.84
| sky | 14.6 | 14.6 | 14.4
| S/N | 15.1 | 24.4 | 27.2
| S/N(c) | 18.5 | 27.5 | 14.9
| SN(E/C) | 0.43
|
|
|
|
|
|
|
4910032
| 47
| | Red | Green | Blue
| z | | 19.00
| znorm | | 14.82
| sky | 14.4 | 14.5 | 14.3
| S/N | 15.0 | 24.1 | 26.6
| S/N(c) | 18.2 | 27.7 | 14.9
| SN(E/C) | 0.44
|
|
|
|
|
|
|