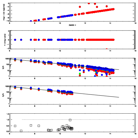
Left plots: red are targets, blue are telluric. Observed mags are calculated from median value of green chip. Zeropoint gives overall throughput: bigger number is more throughput.
First spatial plots: circles are objects, squares are tellurics, crosses are sky fibers. Colors give deviation of observed mag from expected 2MASS mag using the median zeropoint; red is brighter
Second spatial plots: circles are sky fibers. Colors give sky line brightness relative to plate median sky line brightness
FrameNreadsZeropointsMag plots Spatial mag deviation Spatial sky 16325A emission deviations (filled: sky, open: star) Spatial sky continuum emission Spatial sky telluric CO2 absorption deviations (filled: H < 10)
0 0
RedGreenBlue
z17.64
znorm Inf
sky -Inf -Inf -Inf
S/N 25.6 44.0 51.5
S/N(c) 26.2 39.8 22.5
SN(E/C) 0.27

IPAIRNAMESHIFTNEWSHIFTS/N NAMESHIFTNEWSHIFTS/N
0 04910031 0.489961 0.00000 19.0228 04910032 0.00299815 0.486963 19.0073
1 04910030 0.488859 0.00110200 18.9545 04910029 0.00155752 0.488403 18.9948
2 04910027 0.488832 0.00112900 18.9534 04910028 0.00175967 0.488201 18.9502
3 04910026 0.487923 0.00203800 18.8147 04910025 0.00000 0.489961 18.7806