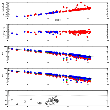
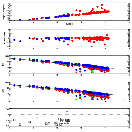
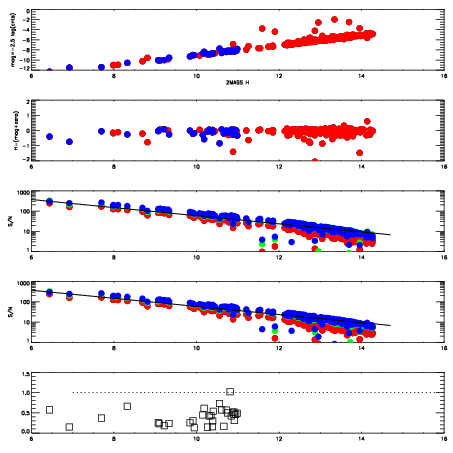
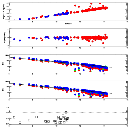
Frame | Nreads | Zeropoints | Mag plots
| Spatial mag deviation
| Spatial sky 16325A emission deviations (filled: sky, open: star)
| Spatial sky continuum emission
| Spatial sky telluric CO2 absorption deviations (filled: H < 10)
|
4920021
| 47
| | Red | Green | Blue
| z | | 14.69
| znorm | | 10.51
| sky | 13.7 | 13.6 | 13.7
| S/N | 0.3 | 0.9 | 1.6
| S/N(c) | 0.0 | 0.7 | 0.2
| SN(E/C) | 2.94
|
|
|
|
|
|
|
4920022
| 47
| | Red | Green | Blue
| z | | 14.36
| znorm | | 10.18
| sky | 13.7 | 13.7 | 14.0
| S/N | -0.0 | 0.6 | 1.6
| S/N(c) | 0.1 | 0.3 | 0.0
| SN(E/C) | 6.21
|
|
|
|
|
|
|
4920023
| 47
| | Red | Green | Blue
| z | | 14.36
| znorm | | 10.18
| sky | 13.6 | 13.6 | 13.8
| S/N | 0.2 | 0.6 | 1.8
| S/N(c) | 0.2 | 0.5 | 0.2
| SN(E/C) | 3.75
|
|
|
|
|
|
|
4920024
| 47
| | Red | Green | Blue
| z | | 17.96
| znorm | | 13.78
| sky | 13.7 | 13.6 | 13.6
| S/N | 7.2 | 11.5 | 12.3
| S/N(c) | 9.0 | 15.1 | 7.6
| SN(E/C) | 0.68
|
|
|
|
|
|
|
4920025
| 47
| | Red | Green | Blue
| z | | 19.14
| znorm | | 14.95
| sky | 14.7 | 14.5 | 14.4
| S/N | 15.8 | 25.3 | 25.6
| S/N(c) | 19.5 | 28.5 | 15.0
| SN(E/C) | 0.43
|
|
|
|
|
|
|
4920026
| 47
| | Red | Green | Blue
| z | | 19.18
| znorm | | 15.00
| sky | 14.8 | 14.5 | 14.6
| S/N | 16.5 | 26.2 | 27.0
| S/N(c) | 20.2 | 29.6 | 15.9
| SN(E/C) | 0.42
|
|
|
|
|
|
|
4920027
| 47
| | Red | Green | Blue
| z | | 19.13
| znorm | | 14.95
| sky | 14.5 | 14.5 | 14.4
| S/N | 16.2 | 25.6 | 26.8
| S/N(c) | 19.7 | 29.1 | 15.6
| SN(E/C) | 0.43
|
|
|
|
|
|
|
4920028
| 47
| | Red | Green | Blue
| z | | 19.11
| znorm | | 14.93
| sky | 14.5 | 14.5 | 14.4
| S/N | 15.6 | 25.3 | 26.3
| S/N(c) | 19.4 | 29.1 | 15.6
| SN(E/C) | 0.45
|
|
|
|
|
|
|