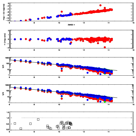
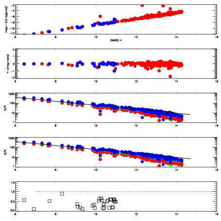
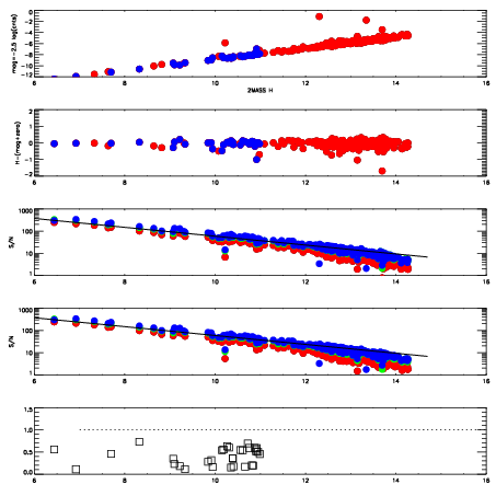
Left plots: red are targets, blue are telluric. Observed mags are calculated from median value of green chip. Zeropoint gives overall throughput: bigger number is more throughput.
First spatial plots: circles are objects, squares are tellurics, crosses are sky fibers. Colors give deviation of observed mag from expected 2MASS mag using the median zeropoint; red is brighter
Second spatial plots: circles are sky fibers. Colors give sky line brightness relative to plate median sky line brightness
FrameNreadsZeropointsMag plots Spatial mag deviation Spatial sky 16325A emission deviations (filled: sky, open: star) Spatial sky continuum emission Spatial sky telluric CO2 absorption deviations (filled: H < 10)
3980078 47
RedGreenBlue
z18.85
znorm14.67
sky 15.0 14.4 14.1
S/N 15.0 23.0 23.7
S/N(c) 8.0 25.7 22.0
SN(E/C) 0.49
3980079 47
RedGreenBlue
z18.87
znorm14.69
sky 14.8 14.6 14.7
S/N 14.9 23.1 24.6
S/N(c) 7.9 25.3 22.2
SN(E/C) 0.46
3980080 47
RedGreenBlue
z18.83
znorm14.65
sky 14.9 14.7 14.7
S/N 14.1 22.7 24.3
S/N(c) 7.8 25.2 22.0
SN(E/C) 0.48
3980081 47
RedGreenBlue
z18.89
znorm14.71
sky 14.9 14.7 14.7
S/N 14.7 23.4 25.5
S/N(c) 8.1 25.7 22.9
SN(E/C) 0.47