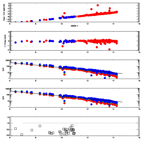
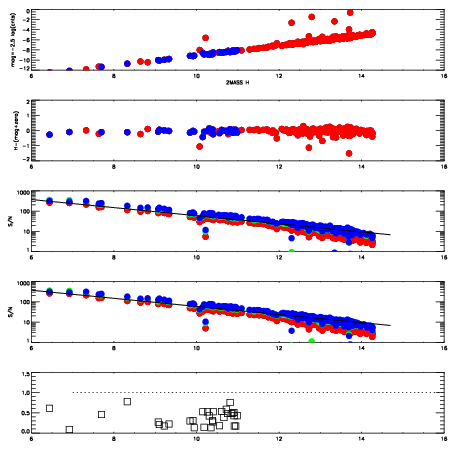
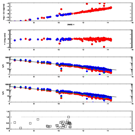
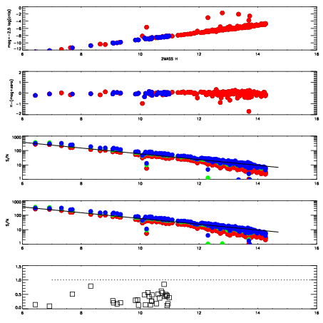
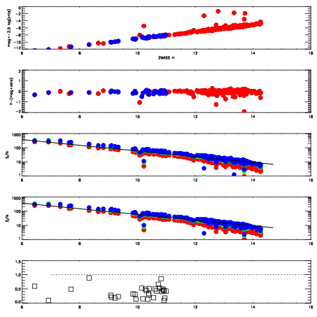
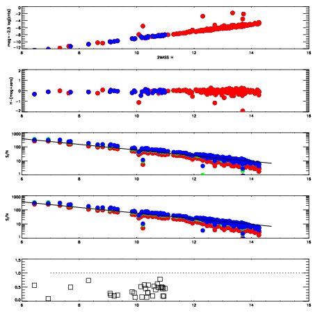
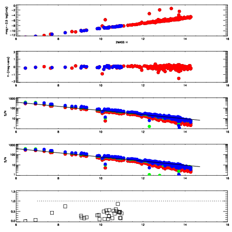
Frame | Nreads | Zeropoints | Mag plots
| Spatial mag deviation
| Spatial sky 16325A emission deviations (filled: sky, open: star)
| Spatial sky continuum emission
| Spatial sky telluric CO2 absorption deviations (filled: H < 10)
|
5150028
| 47
| | Red | Green | Blue
| z | | 19.12
| znorm | | 14.94
| sky | 14.4 | 14.2 | 14.3
| S/N | 16.5 | 26.2 | 28.4
| S/N(c) | 19.6 | 14.1 | 46.3
| SN(E/C) | 0.40
|
|
|
|
|
|
|
5150029
| 47
| | Red | Green | Blue
| z | | 19.11
| znorm | | 14.93
| sky | 14.4 | 14.2 | 14.6
| S/N | 16.8 | 26.1 | 28.6
| S/N(c) | 19.5 | 14.0 | 46.2
| SN(E/C) | 0.41
|
|
|
|
|
|
|
5150030
| 47
| | Red | Green | Blue
| z | | 19.15
| znorm | | 14.97
| sky | 14.4 | 14.4 | 14.5
| S/N | 16.5 | 26.3 | 29.2
| S/N(c) | 19.3 | 14.2 | 46.8
| SN(E/C) | 0.37
|
|
|
|
|
|
|
5150031
| 47
| | Red | Green | Blue
| z | | 19.15
| znorm | | 14.97
| sky | 14.3 | 14.3 | 14.6
| S/N | 15.9 | 25.6 | 29.1
| S/N(c) | 18.8 | 13.8 | 46.5
| SN(E/C) | 0.42
|
|
|
|
|
|
|
5150032
| 47
| | Red | Green | Blue
| z | | 19.13
| znorm | | 14.95
| sky | 14.4 | 14.4 | 14.5
| S/N | 15.7 | 25.4 | 28.8
| S/N(c) | 18.5 | 13.6 | 45.8
| SN(E/C) | 0.43
|
|
|
|
|
|
|
5150033
| 47
| | Red | Green | Blue
| z | | 19.12
| znorm | | 14.94
| sky | 14.5 | 14.4 | 14.5
| S/N | 15.7 | 25.1 | 28.3
| S/N(c) | 18.3 | 13.6 | 45.7
| SN(E/C) | 0.42
|
|
|
|
|
|
|
5150034
| 47
| | Red | Green | Blue
| z | | 19.15
| znorm | | 14.97
| sky | 14.2 | 14.3 | 14.4
| S/N | 15.6 | 25.5 | 28.7
| S/N(c) | 18.1 | 13.7 | 45.8
| SN(E/C) | 0.42
|
|
|
|
|
|
|
5150035
| 47
| | Red | Green | Blue
| z | | 19.14
| znorm | | 14.96
| sky | 14.3 | 14.3 | 14.4
| S/N | 15.5 | 25.3 | 28.2
| S/N(c) | 18.4 | 13.7 | 46.0
| SN(E/C) | 0.39
|
|
|
|
|
|
|