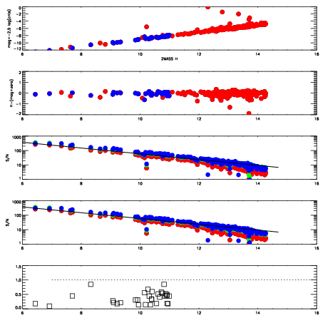
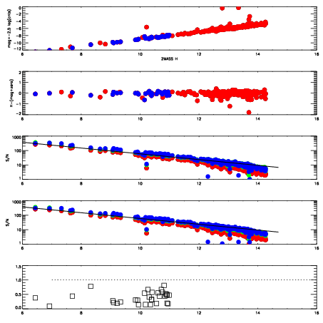
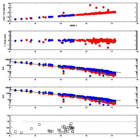
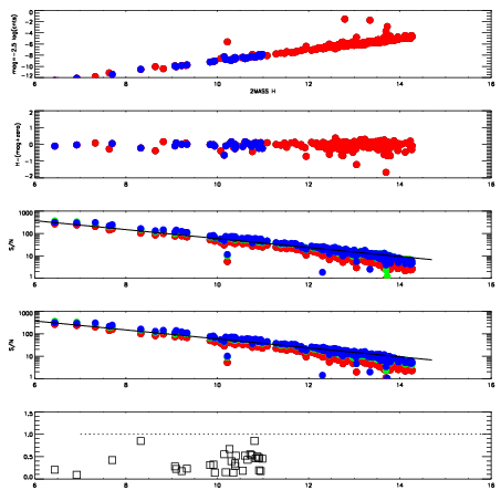
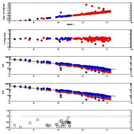
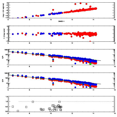
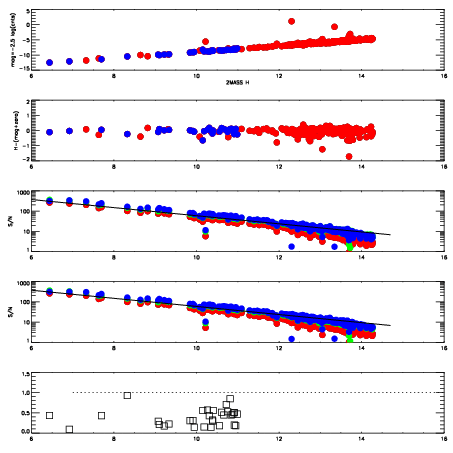
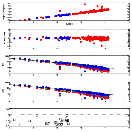
Frame | Nreads | Zeropoints | Mag plots
| Spatial mag deviation
| Spatial sky 16325A emission deviations (filled: sky, open: star)
| Spatial sky continuum emission
| Spatial sky telluric CO2 absorption deviations (filled: H < 10)
|
5160010
| 47
| | Red | Green | Blue
| z | | 19.02
| znorm | | 14.84
| sky | 13.8 | 13.7 | 13.5
| S/N | 15.9 | 24.5 | 25.1
| S/N(c) | 18.3 | 13.3 | 43.8
| SN(E/C) | 0.40
|
|
|
|
|
|
|
5160011
| 47
| | Red | Green | Blue
| z | | 19.06
| znorm | | 14.88
| sky | 14.2 | 14.0 | 13.9
| S/N | 15.6 | 24.7 | 25.7
| S/N(c) | 18.5 | 13.6 | 44.8
| SN(E/C) | 0.40
|
|
|
|
|
|
|
5160012
| 47
| | Red | Green | Blue
| z | | 19.08
| znorm | | 14.90
| sky | 14.4 | 14.1 | 14.1
| S/N | 16.0 | 25.2 | 26.2
| S/N(c) | 18.7 | 13.7 | 45.3
| SN(E/C) | 0.40
|
|
|
|
|
|
|
5160013
| 47
| | Red | Green | Blue
| z | | 19.06
| znorm | | 14.88
| sky | 14.2 | 14.2 | 14.2
| S/N | 16.3 | 24.9 | 26.2
| S/N(c) | 18.8 | 13.8 | 45.4
| SN(E/C) | 0.42
|
|
|
|
|
|
|
5160014
| 47
| | Red | Green | Blue
| z | | 19.04
| znorm | | 14.86
| sky | 14.3 | 14.2 | 14.2
| S/N | 15.4 | 24.8 | 25.8
| S/N(c) | 18.7 | 13.6 | 45.1
| SN(E/C) | 0.43
|
|
|
|
|
|
|
5160015
| 47
| | Red | Green | Blue
| z | | 19.08
| znorm | | 14.90
| sky | 14.2 | 14.3 | 14.2
| S/N | 15.9 | 25.4 | 26.6
| S/N(c) | 19.1 | 13.9 | 45.7
| SN(E/C) | 0.41
|
|
|
|
|
|
|
5160016
| 47
| | Red | Green | Blue
| z | | 19.00
| znorm | | 14.82
| sky | 14.2 | 14.4 | 14.3
| S/N | 15.4 | 24.6 | 25.6
| S/N(c) | 18.4 | 13.5 | 44.6
| SN(E/C) | 0.43
|
|
|
|
|
|
|
5160017
| 47
| | Red | Green | Blue
| z | | 18.96
| znorm | | 14.78
| sky | 14.4 | 14.3 | 14.4
| S/N | 15.1 | 23.9 | 25.5
| S/N(c) | 18.1 | 13.4 | 44.0
| SN(E/C) | 0.44
|
|
|
|
|
|
|