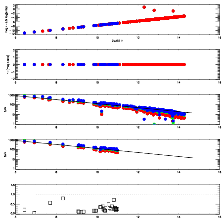
Left plots: red are targets, blue are telluric. Observed mags are calculated from median value of green chip. Zeropoint gives overall throughput: bigger number is more throughput.
First spatial plots: circles are objects, squares are tellurics, crosses are sky fibers. Colors give deviation of observed mag from expected 2MASS mag using the median zeropoint; red is brighter
Second spatial plots: circles are sky fibers. Colors give sky line brightness relative to plate median sky line brightness
FrameNreadsZeropointsMag plots Spatial mag deviation Spatial sky 16325A emission deviations (filled: sky, open: star) Spatial sky continuum emission Spatial sky telluric CO2 absorption deviations (filled: H < 10)
0 0
RedGreenBlue
z17.64
znorm Inf
sky -Inf -Inf -Inf
S/N 28.3 45.8 48.8
S/N(c) 29.6 21.8 73.4
SN(E/C) 0.26

IPAIRNAMESHIFTNEWSHIFTS/N NAMESHIFTNEWSHIFTS/N
0 05160016 0.495760 0.00000 18.9953 05160017 0.00156090 0.494199 18.9426
1 05160015 0.493740 0.00202000 19.0691 05160013 0.000635198 0.495125 19.0553
2 05160012 0.495708 5.20051e-05 19.0681 05160014 -0.000810704 0.496571 19.0394
3 05160011 0.494875 0.000884980 19.0490 05160010 0.00000 0.495760 19.0185