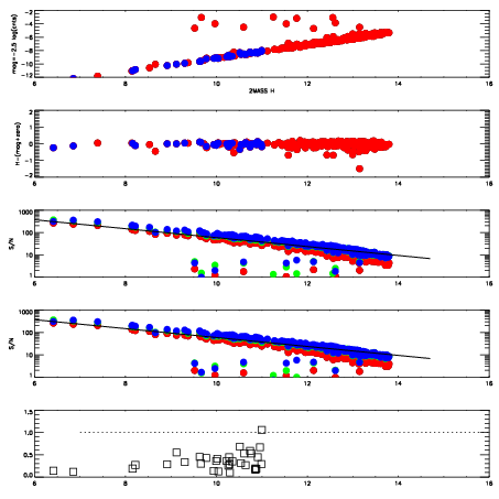
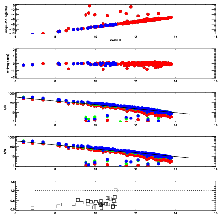
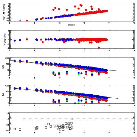
Frame | Nreads | Zeropoints | Mag plots
| Spatial mag deviation
| Spatial sky 16325A emission deviations (filled: sky, open: star)
| Spatial sky continuum emission
| Spatial sky telluric CO2 absorption deviations (filled: H < 10)
|
4030088
| 47
| | Red | Green | Blue
| z | | 19.16
| znorm | | 14.98
| sky | 14.6 | 14.5 | 14.3
| S/N | 15.4 | 24.6 | 26.8
| S/N(c) | 23.8 | 4.8 | 44.5
| SN(E/C) | 0.30
|
|
|
|
|
|
|
4030089
| 47
| | Red | Green | Blue
| z | | 19.18
| znorm | | 15.00
| sky | 15.0 | 14.5 | 14.6
| S/N | 15.9 | 25.0 | 27.8
| S/N(c) | 24.2 | 4.9 | 46.7
| SN(E/C) | 0.31
|
|
|
|
|
|
|
4030090
| 47
| | Red | Green | Blue
| z | | 19.14
| znorm | | 14.96
| sky | 14.5 | 14.5 | 14.6
| S/N | 15.5 | 24.2 | 27.1
| S/N(c) | 23.4 | 4.7 | 45.9
| SN(E/C) | 0.30
|
|
|
|
|
|
|
4030091
| 47
| | Red | Green | Blue
| z | | 19.12
| znorm | | 14.94
| sky | 14.5 | 14.5 | 14.5
| S/N | 15.7 | 24.0 | 27.0
| S/N(c) | 23.2 | 4.7 | 45.8
| SN(E/C) | 0.30
|
|
|
|
|
|
|
4030092
| 47
| | Red | Green | Blue
| z | | 19.10
| znorm | | 14.92
| sky | 14.9 | 14.5 | 14.3
| S/N | 15.1 | 23.6 | 26.3
| S/N(c) | 23.2 | 4.6 | 44.9
| SN(E/C) | 0.31
|
|
|
|
|
|
|
4030093
| 47
| | Red | Green | Blue
| z | | 19.03
| znorm | | 14.85
| sky | 14.4 | 14.4 | 14.1
| S/N | 14.4 | 22.6 | 25.2
| S/N(c) | 21.9 | 4.5 | 43.0
| SN(E/C) | 0.32
|
|
|
|
|
|
|
4030094
| 47
| | Red | Green | Blue
| z | | 19.07
| znorm | | 14.88
| sky | 14.4 | 14.4 | 14.3
| S/N | 14.6 | 23.0 | 25.6
| S/N(c) | 22.5 | 4.5 | 43.4
| SN(E/C) | 0.32
|
|
|
|
|
|
|
4030095
| 47
| | Red | Green | Blue
| z | | 19.11
| znorm | | 14.93
| sky | 14.6 | 14.4 | 14.3
| S/N | 15.0 | 23.9 | 26.8
| S/N(c) | 22.4 | 4.6 | 43.9
| SN(E/C) | 0.32
|
|
|
|
|
|
|
4030096
| 47
| | Red | Green | Blue
| z | | 19.09
| znorm | | 14.91
| sky | 14.4 | 14.4 | 14.3
| S/N | 14.6 | 23.5 | 26.1
| S/N(c) | 22.3 | 4.5 | 42.9
| SN(E/C) | 0.31
|
|
|
|
|
|
|
4030097
| 47
| | Red | Green | Blue
| z | | 19.11
| znorm | | 14.93
| sky | 14.5 | 14.5 | 14.3
| S/N | 14.8 | 24.1 | 26.7
| S/N(c) | 22.9 | 4.6 | 43.8
| SN(E/C) | 0.32
|
|
|
|
|
|
|