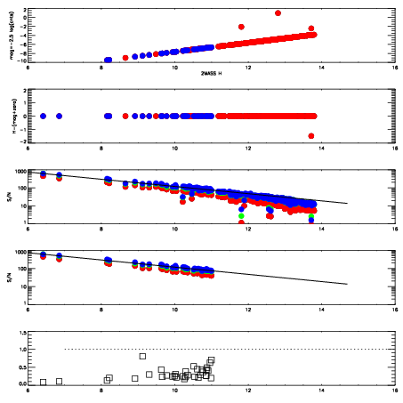
Left plots: red are targets, blue are telluric. Observed mags are calculated from median value of green chip. Zeropoint gives overall throughput: bigger number is more throughput.
First spatial plots: circles are objects, squares are tellurics, crosses are sky fibers. Colors give deviation of observed mag from expected 2MASS mag using the median zeropoint; red is brighter
Second spatial plots: circles are sky fibers. Colors give sky line brightness relative to plate median sky line brightness
FrameNreadsZeropointsMag plots Spatial mag deviation Spatial sky 16325A emission deviations (filled: sky, open: star) Spatial sky continuum emission Spatial sky telluric CO2 absorption deviations (filled: H < 10)
0 0
RedGreenBlue
z17.64
znorm Inf
sky -NaN -NaN -NaN
S/N 19.4 36.9 36.8
S/N(c) 0.0 0.0 0.0
SN(E/C) 0.27

IPAIRNAMESHIFTNEWSHIFTS/N NAMESHIFTNEWSHIFTS/N
0 04570042 0.502587 0.00000 18.6814 04570039 0.00131292 0.501274 18.6688
1 04570041 0.500260 0.00232702 18.8843 04570040 0.00130343 0.501284 18.8817
2 04570037 0.500338 0.00224900 18.3782 04570043 0.00565694 0.496930 18.5541
3 04570038 0.501108 0.00147903 18.1053 04570036 0.00000 0.502587 18.3544