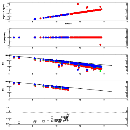
Left plots: red are targets, blue are telluric. Observed mags are calculated from median value of green chip. Zeropoint gives overall throughput: bigger number is more throughput.
First spatial plots: circles are objects, squares are tellurics, crosses are sky fibers. Colors give deviation of observed mag from expected 2MASS mag using the median zeropoint; red is brighter
Second spatial plots: circles are sky fibers. Colors give sky line brightness relative to plate median sky line brightness
FrameNreadsZeropointsMag plots Spatial mag deviation Spatial sky 16325A emission deviations (filled: sky, open: star) Spatial sky continuum emission Spatial sky telluric CO2 absorption deviations (filled: H < 10)
0 0
RedGreenBlue
z17.64
znorm Inf
sky -Inf -NaN -Inf
S/N 14.2 25.5 26.0
S/N(c) 0.0 0.0 0.0
SN(E/C) 0.37

IPAIRNAMESHIFTNEWSHIFTS/N NAMESHIFTNEWSHIFTS/N
0 04590021 0.505596 0.00000 17.6694 04590022 0.00190303 0.503693 17.5079
1 04590020 0.501897 0.00369900 18.9141 04590019 0.00000 0.505596 18.9043
2 04590024 0.503494 0.00210196 17.7490 04590023 0.000888086 0.504708 17.9019
3 04590025 0.504669 0.000926971 16.8686 04590026 0.00426026 0.501336 16.4685