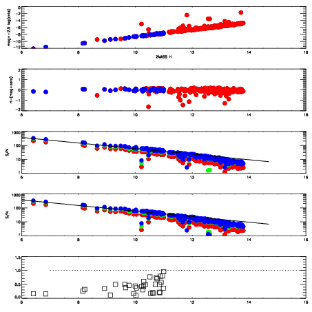
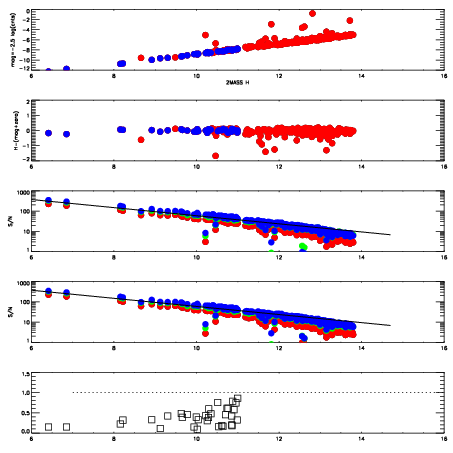
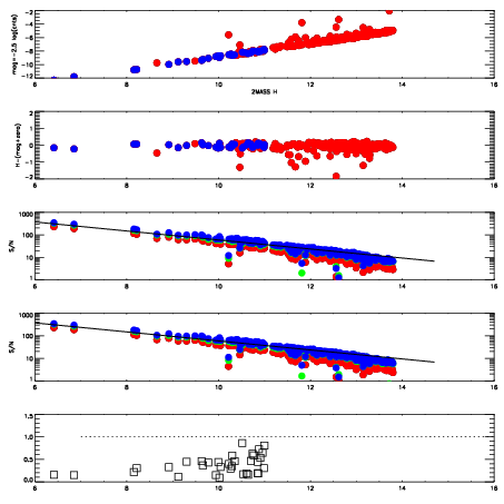
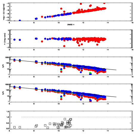
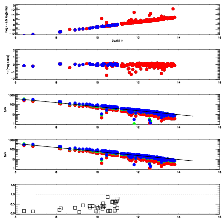
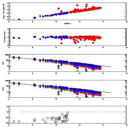
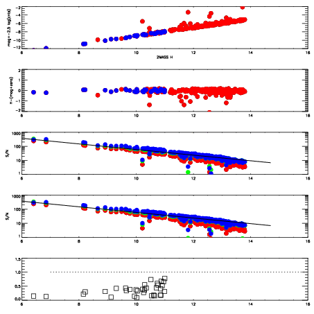
Frame | Nreads | Zeropoints | Mag plots
| Spatial mag deviation
| Spatial sky 16325A emission deviations (filled: sky, open: star)
| Spatial sky continuum emission
| Spatial sky telluric CO2 absorption deviations (filled: H < 10)
|
4600047
| 47
| | Red | Green | Blue
| z | | 18.97
| znorm | | 14.79
| sky | 14.2 | 14.0 | 13.9
| S/N | 14.4 | 22.7 | 24.5
| S/N(c) | 17.5 | 26.3 | 16.7
| SN(E/C) | 0.35
|
|
|
|
|
|
|
4600048
| 47
| | Red | Green | Blue
| z | | 18.86
| znorm | | 14.68
| sky | 13.9 | 13.7 | 13.8
| S/N | 13.2 | 21.0 | 22.9
| S/N(c) | 16.1 | 24.7 | 15.6
| SN(E/C) | 0.35
|
|
|
|
|
|
|
4600049
| 47
| | Red | Green | Blue
| z | | 18.84
| znorm | | 14.66
| sky | 13.7 | 13.6 | 13.6
| S/N | 13.0 | 20.2 | 22.4
| S/N(c) | 15.9 | 24.2 | 15.5
| SN(E/C) | 0.36
|
|
|
|
|
|
|
4600050
| 47
| | Red | Green | Blue
| z | | 18.99
| znorm | | 14.81
| sky | 14.2 | 14.1 | 14.0
| S/N | 14.4 | 22.8 | 24.9
| S/N(c) | 17.5 | 26.6 | 16.9
| SN(E/C) | 0.34
|
|
|
|
|
|
|
4600051
| 47
| | Red | Green | Blue
| z | | 18.96
| znorm | | 14.78
| sky | 14.1 | 14.0 | 14.0
| S/N | 14.1 | 22.5 | 24.4
| S/N(c) | 17.3 | 26.5 | 16.8
| SN(E/C) | 0.33
|
|
|
|
|
|
|
4600052
| 47
| | Red | Green | Blue
| z | | 18.65
| znorm | | 14.47
| sky | 13.4 | 13.3 | 13.3
| S/N | 10.6 | 17.4 | 18.9
| S/N(c) | 14.1 | 21.8 | 14.0
| SN(E/C) | 0.38
|
|
|
|
|
|
|
4600053
| 47
| | Red | Green | Blue
| z | | 18.91
| znorm | | 14.73
| sky | 13.8 | 13.7 | 13.7
| S/N | 12.9 | 21.0 | 23.1
| S/N(c) | 16.8 | 25.6 | 16.5
| SN(E/C) | 0.35
|
|
|
|
|
|
|
4600054
| 47
| | Red | Green | Blue
| z | | 18.84
| znorm | | 14.66
| sky | 13.6 | 13.5 | 13.5
| S/N | 12.2 | 20.1 | 21.6
| S/N(c) | 16.1 | 24.6 | 15.7
| SN(E/C) | 0.39
|
|
|
|
|
|
|