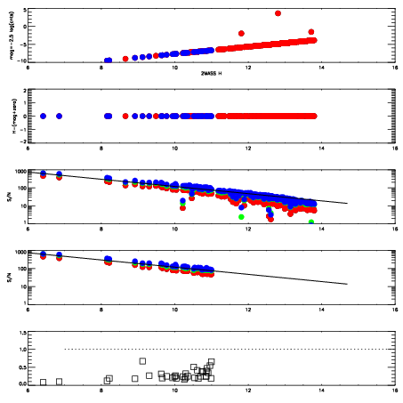
Left plots: red are targets, blue are telluric. Observed mags are calculated from median value of green chip. Zeropoint gives overall throughput: bigger number is more throughput.
First spatial plots: circles are objects, squares are tellurics, crosses are sky fibers. Colors give deviation of observed mag from expected 2MASS mag using the median zeropoint; red is brighter
Second spatial plots: circles are sky fibers. Colors give sky line brightness relative to plate median sky line brightness
FrameNreadsZeropointsMag plots Spatial mag deviation Spatial sky 16325A emission deviations (filled: sky, open: star) Spatial sky continuum emission Spatial sky telluric CO2 absorption deviations (filled: H < 10)
0 0
RedGreenBlue
z17.64
znorm Inf
sky -NaN -NaN -Inf
S/N 23.4 38.6 43.4
S/N(c) 0.0 0.0 0.0
SN(E/C) 0.25

IPAIRNAMESHIFTNEWSHIFTS/N NAMESHIFTNEWSHIFTS/N
0 04600053 0.495496 0.00000 18.9087 04600050 0.00122391 0.494272 18.9841
1 04600048 0.493972 0.00152400 18.8555 04600047 0.00000 0.495496 18.9672
2 04600049 0.495049 0.000447005 18.8457 04600051 -0.000199100 0.495695 18.9645
3 04600052 0.494478 0.00101802 18.6544 04600054 0.00176856 0.493727 18.8390