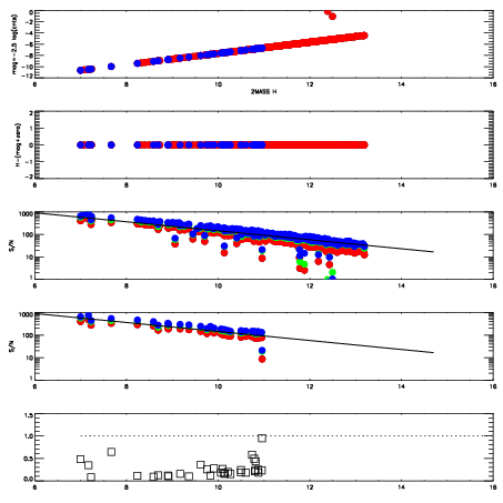
Left plots: red are targets, blue are telluric. Observed mags are calculated from median value of green chip. Zeropoint gives overall throughput: bigger number is more throughput.
First spatial plots: circles are objects, squares are tellurics, crosses are sky fibers. Colors give deviation of observed mag from expected 2MASS mag using the median zeropoint; red is brighter
Second spatial plots: circles are sky fibers. Colors give sky line brightness relative to plate median sky line brightness
FrameNreadsZeropointsMag plots Spatial mag deviation Spatial sky 16325A emission deviations (filled: sky, open: star) Spatial sky continuum emission Spatial sky telluric CO2 absorption deviations (filled: H < 10)
0 0
RedGreenBlue
z17.64
znorm Inf
sky -Inf -NaN -NaN
S/N 32.9 57.0 63.4
S/N(c) 0.0 0.0 0.0
SN(E/C) 0.20

IPAIRNAMESHIFTNEWSHIFTS/N NAMESHIFTNEWSHIFTS/N
0 03720098 0.510485 0.00000 19.0115 03720108 0.000333825 0.510151 19.0834
1 03720107 0.499786 0.0106990 19.0594 03720105 -0.000514716 0.511000 19.1184
2 03720106 0.498671 0.0118140 19.0526 03720100 0.000542331 0.509943 19.0876
3 03720099 0.510377 0.000108004 19.0442 03720101 0.00151408 0.508971 19.0870
4 03720102 0.500217 0.0102680 19.0088 03720104 -0.000451651 0.510937 19.0803
5 03720103 0.501112 0.00937301 18.9472 03720097 0.00000 0.510485 18.9542