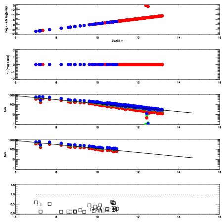
Left plots: red are targets, blue are telluric. Observed mags are calculated from median value of green chip. Zeropoint gives overall throughput: bigger number is more throughput.
First spatial plots: circles are objects, squares are tellurics, crosses are sky fibers. Colors give deviation of observed mag from expected 2MASS mag using the median zeropoint; red is brighter
Second spatial plots: circles are sky fibers. Colors give sky line brightness relative to plate median sky line brightness
FrameNreadsZeropointsMag plots Spatial mag deviation Spatial sky 16325A emission deviations (filled: sky, open: star) Spatial sky continuum emission Spatial sky telluric CO2 absorption deviations (filled: H < 10)
0 0
RedGreenBlue
z17.64
znorm Inf
sky -Inf -NaN -Inf
S/N 27.5 48.4 53.2
S/N(c) 0.0 0.0 0.0
SN(E/C) 0.24

IPAIRNAMESHIFTNEWSHIFTS/N NAMESHIFTNEWSHIFTS/N
0 04860055 0.491410 0.00000 19.1001 04860056 -0.00611225 0.497522 19.0494
1 04860050 0.489070 0.00233999 19.1214 04860052 0.00152524 0.489885 19.1454
2 04860054 0.490965 0.000444978 19.1035 04860053 -0.000461329 0.491871 19.1194
3 04860051 0.491367 4.29749e-05 19.1007 04860049 0.00000 0.491410 19.0946