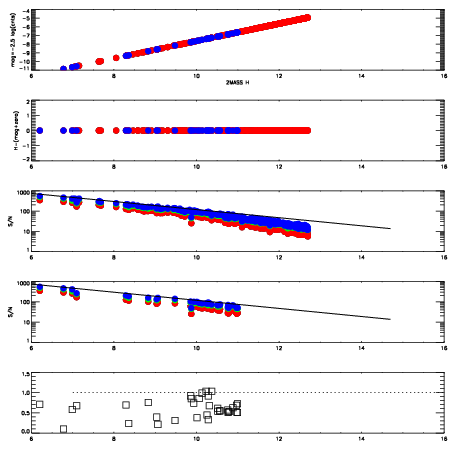
Left plots: red are targets, blue are telluric. Observed mags are calculated from median value of green chip. Zeropoint gives overall throughput: bigger number is more throughput.
First spatial plots: circles are objects, squares are tellurics, crosses are sky fibers. Colors give deviation of observed mag from expected 2MASS mag using the median zeropoint; red is brighter
Second spatial plots: circles are sky fibers. Colors give sky line brightness relative to plate median sky line brightness
FrameNreadsZeropointsMag plots Spatial mag deviation Spatial sky 16325A emission deviations (filled: sky, open: star) Spatial sky continuum emission Spatial sky telluric CO2 absorption deviations (filled: H < 10)
0 0
RedGreenBlue
z17.64
znorm Inf
sky -Inf -NaN -Inf
S/N 13.2 23.3 24.7
S/N(c) 0.0 0.0 0.0
SN(E/C) 0.58

IPAIRNAMESHIFTNEWSHIFTS/N NAMESHIFTNEWSHIFTS/N
0 11720046 0.491895 0.00000 17.9641 11720047 -0.00258270 0.494478 17.6449
1 11720050 0.490790 0.00110498 18.2415 11720051 -0.00357645 0.495471 18.2265
2 11720049 0.491122 0.000772983 18.2154 11720048 -0.00308097 0.494976 18.0378
3 11720045 0.491517 0.000377983 18.0762 11720044 0.00000 0.491895 17.9974