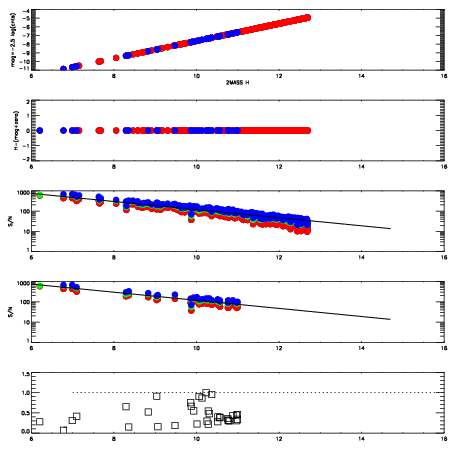
Left plots: red are targets, blue are telluric. Observed mags are calculated from median value of green chip. Zeropoint gives overall throughput: bigger number is more throughput.
First spatial plots: circles are objects, squares are tellurics, crosses are sky fibers. Colors give deviation of observed mag from expected 2MASS mag using the median zeropoint; red is brighter
Second spatial plots: circles are sky fibers. Colors give sky line brightness relative to plate median sky line brightness
FrameNreadsZeropointsMag plots Spatial mag deviation Spatial sky 16325A emission deviations (filled: sky, open: star) Spatial sky continuum emission Spatial sky telluric CO2 absorption deviations (filled: H < 10)
0 0
RedGreenBlue
z17.64
znorm Inf
sky -Inf -Inf -Inf
S/N 25.4 45.1 48.5
S/N(c) 0.0 0.0 0.0
SN(E/C) 0.39

IPAIRNAMESHIFTNEWSHIFTS/N NAMESHIFTNEWSHIFTS/N
0 11950042 0.503029 0.00000 19.0393 11950040 -0.00275123 0.505780 18.9994
1 11950041 0.502829 0.000199974 19.0696 11950043 -0.00203557 0.505065 19.0790
2 11950038 0.500585 0.00244397 18.9389 11950039 -0.00325536 0.506284 18.9588
3 11950037 0.501403 0.00162601 18.8812 11950036 0.00000 0.503029 18.8575