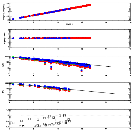
Left plots: red are targets, blue are telluric. Observed mags are calculated from median value of green chip. Zeropoint gives overall throughput: bigger number is more throughput.
First spatial plots: circles are objects, squares are tellurics, crosses are sky fibers. Colors give deviation of observed mag from expected 2MASS mag using the median zeropoint; red is brighter
Second spatial plots: circles are sky fibers. Colors give sky line brightness relative to plate median sky line brightness
FrameNreadsZeropointsMag plots Spatial mag deviation Spatial sky 16325A emission deviations (filled: sky, open: star) Spatial sky continuum emission Spatial sky telluric CO2 absorption deviations (filled: H < 10)
0 0
RedGreenBlue
z17.64
znorm Inf
sky -Inf -Inf -Inf
S/N 19.8 36.0 37.4
S/N(c) 0.0 0.0 0.0
SN(E/C) 0.38

IPAIRNAMESHIFTNEWSHIFTS/N NAMESHIFTNEWSHIFTS/N
0 08730024 0.481123 0.00000 18.8471 08730026 -2.97416e-05 0.481153 18.9332
1 08730023 0.480967 0.000156015 18.8725 08730022 0.00000 0.481123 18.9420
2 08730028 0.480056 0.00106701 18.6843 08730025 0.000793671 0.480329 18.8661
3 08730027 0.479926 0.00119701 18.5499 08730029 0.00415500 0.476968 18.5097