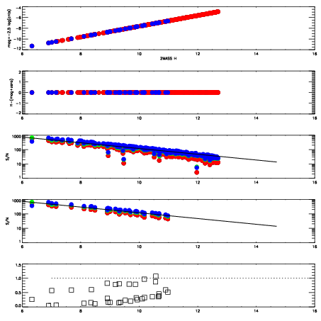
Left plots: red are targets, blue are telluric. Observed mags are calculated from median value of green chip. Zeropoint gives overall throughput: bigger number is more throughput.
First spatial plots: circles are objects, squares are tellurics, crosses are sky fibers. Colors give deviation of observed mag from expected 2MASS mag using the median zeropoint; red is brighter
Second spatial plots: circles are sky fibers. Colors give sky line brightness relative to plate median sky line brightness
FrameNreadsZeropointsMag plots Spatial mag deviation Spatial sky 16325A emission deviations (filled: sky, open: star) Spatial sky continuum emission Spatial sky telluric CO2 absorption deviations (filled: H < 10)
0 0
RedGreenBlue
z17.64
znorm Inf
sky -NaN -NaN -Inf
S/N 21.6 38.4 41.5
S/N(c) 0.0 0.0 0.0
SN(E/C) 0.32

IPAIRNAMESHIFTNEWSHIFTS/N NAMESHIFTNEWSHIFTS/N
0 08770016 0.482640 0.00000 18.9804 08770017 0.00308025 0.479560 18.9337
1 08770015 0.482269 0.000371009 18.9322 08770014 0.00396256 0.478677 18.9056
2 08770012 0.480579 0.00206101 18.8003 08770010 0.00000 0.482640 18.8136
3 08770011 0.480683 0.00195700 18.5596 08770013 0.00375690 0.478883 18.4776