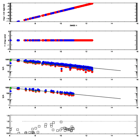
Left plots: red are targets, blue are telluric. Observed mags are calculated from median value of green chip. Zeropoint gives overall throughput: bigger number is more throughput.
First spatial plots: circles are objects, squares are tellurics, crosses are sky fibers. Colors give deviation of observed mag from expected 2MASS mag using the median zeropoint; red is brighter
Second spatial plots: circles are sky fibers. Colors give sky line brightness relative to plate median sky line brightness
FrameNreadsZeropointsMag plots Spatial mag deviation Spatial sky 16325A emission deviations (filled: sky, open: star) Spatial sky continuum emission Spatial sky telluric CO2 absorption deviations (filled: H < 10)
0 0
RedGreenBlue
z17.64
znorm Inf
sky -Inf -Inf -Inf
S/N 23.5 41.3 44.3
S/N(c) 0.0 0.0 0.0
SN(E/C) 0.36

IPAIRNAMESHIFTNEWSHIFTS/N NAMESHIFTNEWSHIFTS/N
0 11650070 0.492616 0.00000 19.0054 11650068 -0.00165452 0.494271 19.0356
1 11650067 0.492484 0.000131994 19.0076 11650069 -0.00193590 0.494552 19.0716
2 11650071 0.492553 6.30021e-05 18.9796 11650072 -0.00179195 0.494408 18.9731
3 11650066 0.491648 0.000968009 18.9526 11650065 0.00000 0.492616 18.8375