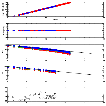
Left plots: red are targets, blue are telluric. Observed mags are calculated from median value of green chip. Zeropoint gives overall throughput: bigger number is more throughput.
First spatial plots: circles are objects, squares are tellurics, crosses are sky fibers. Colors give deviation of observed mag from expected 2MASS mag using the median zeropoint; red is brighter
Second spatial plots: circles are sky fibers. Colors give sky line brightness relative to plate median sky line brightness
FrameNreadsZeropointsMag plots Spatial mag deviation Spatial sky 16325A emission deviations (filled: sky, open: star) Spatial sky continuum emission Spatial sky telluric CO2 absorption deviations (filled: H < 10)
0 0
RedGreenBlue
z17.64
znorm Inf
sky -Inf -NaN -Inf
S/N 16.6 30.5 32.1
S/N(c) 0.0 0.0 0.0
SN(E/C) 0.44

IPAIRNAMESHIFTNEWSHIFTS/N NAMESHIFTNEWSHIFTS/N
0 12030050 0.500196 0.00000 18.1316 12030048 0.00000 0.500196 18.2441
1 12030054 0.498418 0.00177798 18.7119 12030055 0.000147810 0.500048 18.7055
2 12030053 0.498226 0.00196999 18.6364 12030052 -0.00367222 0.503868 18.6125
3 12030049 0.499669 0.000526994 18.2448 12030051 -0.00333422 0.503530 18.4351