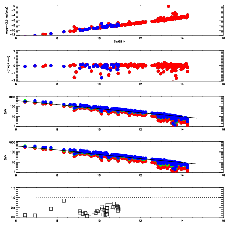
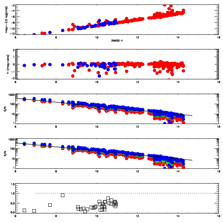
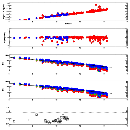
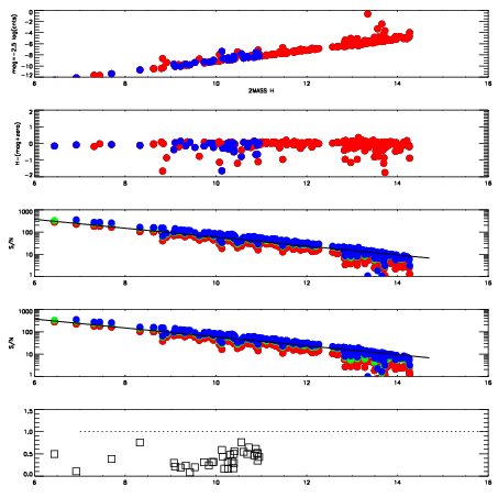
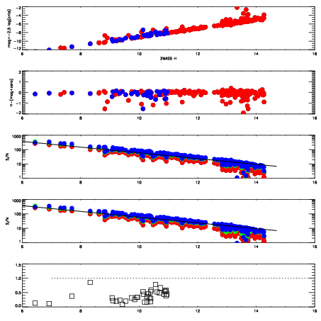
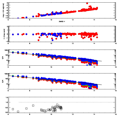
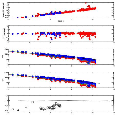
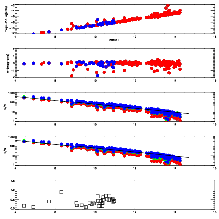
Frame | Nreads | Zeropoints | Mag plots
| Spatial mag deviation
| Spatial sky 16325A emission deviations (filled: sky, open: star)
| Spatial sky continuum emission
| Spatial sky telluric CO2 absorption deviations (filled: H < 10)
|
4870048
| 47
| | Red | Green | Blue
| z | | 19.04
| znorm | | 14.86
| sky | 14.8 | 14.5 | 14.5
| S/N | 13.8 | 23.5 | 25.3
| S/N(c) | 16.2 | 10.4 | 37.3
| SN(E/C) | 0.35
|
|
|
|
|
|
|
4870049
| 47
| | Red | Green | Blue
| z | | 19.02
| znorm | | 14.84
| sky | 14.9 | 14.6 | 14.8
| S/N | 14.1 | 23.6 | 25.6
| S/N(c) | 16.1 | 10.4 | 37.2
| SN(E/C) | 0.34
|
|
|
|
|
|
|
4870050
| 47
| | Red | Green | Blue
| z | | 19.02
| znorm | | 14.84
| sky | 14.9 | 14.6 | 15.0
| S/N | 13.9 | 23.7 | 25.4
| S/N(c) | 16.1 | 10.4 | 37.3
| SN(E/C) | 0.34
|
|
|
|
|
|
|
4870051
| 47
| | Red | Green | Blue
| z | | 19.09
| znorm | | 14.91
| sky | 14.6 | 14.6 | 15.0
| S/N | 14.7 | 24.5 | 26.9
| S/N(c) | 16.5 | 10.7 | 38.3
| SN(E/C) | 0.34
|
|
|
|
|
|
|
4870052
| 47
| | Red | Green | Blue
| z | | 19.07
| znorm | | 14.89
| sky | 14.8 | 14.7 | 14.9
| S/N | 14.5 | 24.5 | 26.3
| S/N(c) | 16.5 | 10.6 | 37.8
| SN(E/C) | 0.35
|
|
|
|
|
|
|
4870053
| 47
| | Red | Green | Blue
| z | | 19.03
| znorm | | 14.85
| sky | 14.7 | 14.7 | 14.9
| S/N | 14.1 | 23.9 | 25.8
| S/N(c) | 16.0 | 10.4 | 36.9
| SN(E/C) | 0.36
|
|
|
|
|
|
|
4870054
| 47
| | Red | Green | Blue
| z | | 19.04
| znorm | | 14.86
| sky | 15.0 | 14.7 | 15.0
| S/N | 14.3 | 24.5 | 25.9
| S/N(c) | 16.0 | 10.4 | 37.0
| SN(E/C) | 0.35
|
|
|
|
|
|
|
4870055
| 47
| | Red | Green | Blue
| z | | 19.13
| znorm | | 14.95
| sky | 14.8 | 14.7 | 14.9
| S/N | 15.1 | 25.3 | 27.4
| S/N(c) | 16.8 | 10.8 | 37.9
| SN(E/C) | 0.35
|
|
|
|
|
|
|