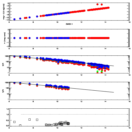
Left plots: red are targets, blue are telluric. Observed mags are calculated from median value of green chip. Zeropoint gives overall throughput: bigger number is more throughput.
First spatial plots: circles are objects, squares are tellurics, crosses are sky fibers. Colors give deviation of observed mag from expected 2MASS mag using the median zeropoint; red is brighter
Second spatial plots: circles are sky fibers. Colors give sky line brightness relative to plate median sky line brightness
FrameNreadsZeropointsMag plots Spatial mag deviation Spatial sky 16325A emission deviations (filled: sky, open: star) Spatial sky continuum emission Spatial sky telluric CO2 absorption deviations (filled: H < 10)
0 0
RedGreenBlue
z17.64
znorm Inf
sky -Inf -NaN -Inf
S/N 34.3 60.0 65.1
S/N(c) 0.0 0.0 0.0
SN(E/C) 0.21

IPAIRNAMESHIFTNEWSHIFTS/N NAMESHIFTNEWSHIFTS/N
0 07530100 0.482582 0.00000 18.9703 07530105 0.00339008 0.479192 19.0310
1 07530096 0.480956 0.00162601 19.0099 07530094 0.00000 0.482582 19.0668
2 07530103 0.479512 0.00307000 18.9658 07530106 0.00494246 0.477640 18.9512
3 07530095 0.480007 0.00257501 18.9526 07530102 0.00476130 0.477821 18.9359
4 07530104 0.480828 0.00175402 18.9429 07530101 0.00448236 0.478100 18.9225
5 07530107 0.479690 0.00289202 18.9302 07530097 0.00234054 0.480241 18.9155
6 07530099 0.481995 0.000587016 18.8139 07530098 0.00133431 0.481248 18.7268