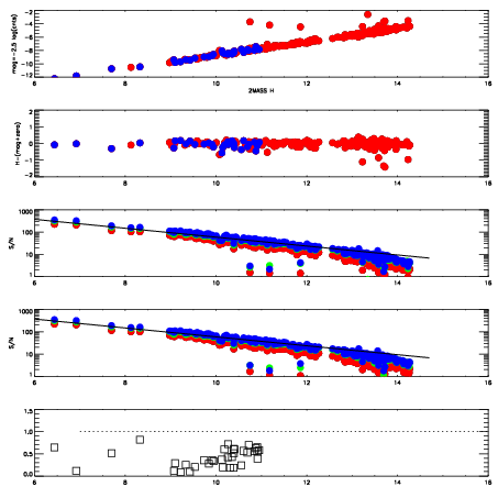
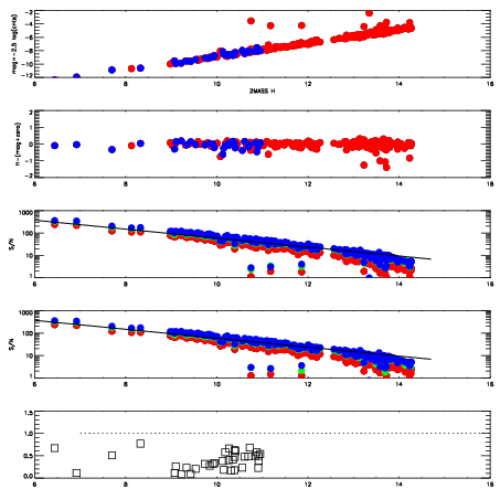
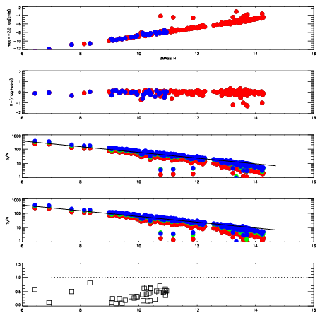
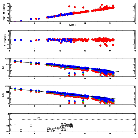
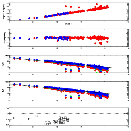
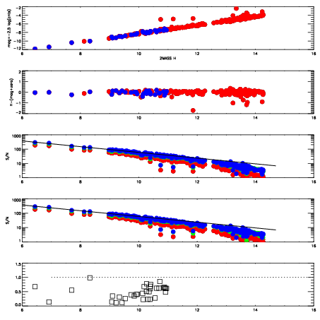
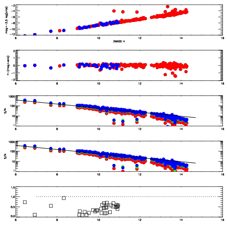
Frame | Nreads | Zeropoints | Mag plots
| Spatial mag deviation
| Spatial sky 16325A emission deviations (filled: sky, open: star)
| Spatial sky continuum emission
| Spatial sky telluric CO2 absorption deviations (filled: H < 10)
|
5210026
| 47
| | Red | Green | Blue
| z | | 18.99
| znorm | | 14.81
| sky | 14.3 | 14.2 | 14.4
| S/N | 14.9 | 24.4 | 27.3
| S/N(c) | 6.4 | 29.1 | 43.3
| SN(E/C) | 0.39
|
|
|
|
|
|
|
5210027
| 47
| | Red | Green | Blue
| z | | 18.93
| znorm | | 14.75
| sky | 14.3 | 14.2 | 14.5
| S/N | 14.0 | 23.7 | 26.1
| S/N(c) | 6.1 | 27.8 | 41.7
| SN(E/C) | 0.39
|
|
|
|
|
|
|
5210028
| 47
| | Red | Green | Blue
| z | | 18.74
| znorm | | 14.56
| sky | 14.1 | 14.0 | 14.1
| S/N | 12.6 | 21.0 | 23.0
| S/N(c) | 5.5 | 25.3 | 38.2
| SN(E/C) | 0.42
|
|
|
|
|
|
|
5210029
| 47
| | Red | Green | Blue
| z | | 18.72
| znorm | | 14.54
| sky | 14.0 | 13.9 | 14.1
| S/N | 12.0 | 20.6 | 22.7
| S/N(c) | 5.4 | 25.2 | 38.3
| SN(E/C) | 0.43
|
|
|
|
|
|
|
5210030
| 47
| | Red | Green | Blue
| z | | 18.89
| znorm | | 14.71
| sky | 14.1 | 14.1 | 14.2
| S/N | 13.9 | 23.2 | 25.4
| S/N(c) | 6.0 | 27.5 | 40.7
| SN(E/C) | 0.38
|
|
|
|
|
|
|
5210031
| 47
| | Red | Green | Blue
| z | | 18.82
| znorm | | 14.64
| sky | 14.2 | 14.1 | 14.2
| S/N | 13.0 | 22.3 | 24.0
| S/N(c) | 5.7 | 26.5 | 39.8
| SN(E/C) | 0.43
|
|
|
|
|
|
|
5210032
| 47
| | Red | Green | Blue
| z | | 18.87
| znorm | | 14.69
| sky | 14.2 | 14.2 | 14.2
| S/N | 13.3 | 23.0 | 24.8
| S/N(c) | 5.9 | 27.2 | 40.6
| SN(E/C) | 0.41
|
|
|
|
|
|
|
5210033
| 47
| | Red | Green | Blue
| z | | 18.31
| znorm | | 14.13
| sky | 14.2 | 14.2 | 14.2
| S/N | 8.7 | 16.2 | 16.9
| S/N(c) | 4.3 | 20.7 | 31.5
| SN(E/C) | 0.50
|
|
|
|
|
|
|