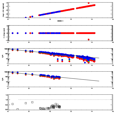
Left plots: red are targets, blue are telluric. Observed mags are calculated from median value of green chip. Zeropoint gives overall throughput: bigger number is more throughput.
First spatial plots: circles are objects, squares are tellurics, crosses are sky fibers. Colors give deviation of observed mag from expected 2MASS mag using the median zeropoint; red is brighter
Second spatial plots: circles are sky fibers. Colors give sky line brightness relative to plate median sky line brightness
FrameNreadsZeropointsMag plots Spatial mag deviation Spatial sky 16325A emission deviations (filled: sky, open: star) Spatial sky continuum emission Spatial sky telluric CO2 absorption deviations (filled: H < 10)
0 0
RedGreenBlue
z17.64
znorm Inf
sky -Inf -Inf -Inf
S/N 22.9 41.5 45.1
S/N(c) 0.0 0.0 0.0
SN(E/C) 0.29

IPAIRNAMESHIFTNEWSHIFTS/N NAMESHIFTNEWSHIFTS/N
0 05210027 0.502839 0.00000 18.9357 05210026 0.00000 0.502839 19.0030
1 05210032 0.502043 0.000796020 18.8703 05210030 0.00102406 0.501815 18.9039
2 05210031 0.502261 0.000578046 18.8347 05210029 0.000568321 0.502271 18.7542
3 05210028 0.502387 0.000452042 18.7549 05210033 0.00154259 0.501296 18.3345