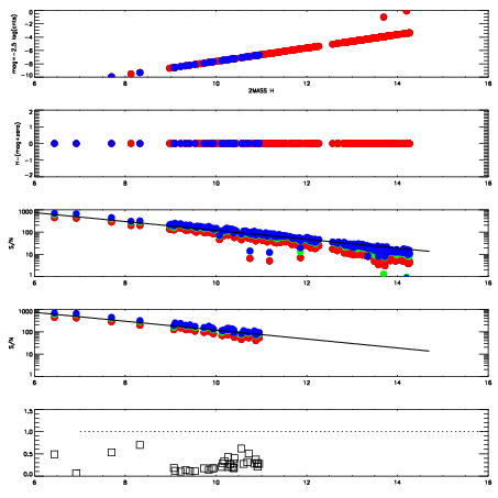
Left plots: red are targets, blue are telluric. Observed mags are calculated from median value of green chip. Zeropoint gives overall throughput: bigger number is more throughput.
First spatial plots: circles are objects, squares are tellurics, crosses are sky fibers. Colors give deviation of observed mag from expected 2MASS mag using the median zeropoint; red is brighter
Second spatial plots: circles are sky fibers. Colors give sky line brightness relative to plate median sky line brightness
FrameNreadsZeropointsMag plots Spatial mag deviation Spatial sky 16325A emission deviations (filled: sky, open: star) Spatial sky continuum emission Spatial sky telluric CO2 absorption deviations (filled: H < 10)
0 0
RedGreenBlue
z17.63
znorm Inf
sky -NaN -NaN -Inf
S/N 24.1 42.8 48.2
S/N(c) 0.0 0.0 0.0
SN(E/C) 0.26

IPAIRNAMESHIFTNEWSHIFTS/N NAMESHIFTNEWSHIFTS/N
0 05490017 0.487186 0.00000 18.9139 05490014 0.000858670 0.486327 18.9155
1 05490016 0.487141 4.50015e-05 18.9278 05490018 0.000205210 0.486981 18.9440
2 05490012 0.486818 0.000368029 18.8782 05490015 -0.000413928 0.487600 18.8579
3 05490013 0.486565 0.000621021 18.8481 05490011 0.00000 0.487186 18.8463