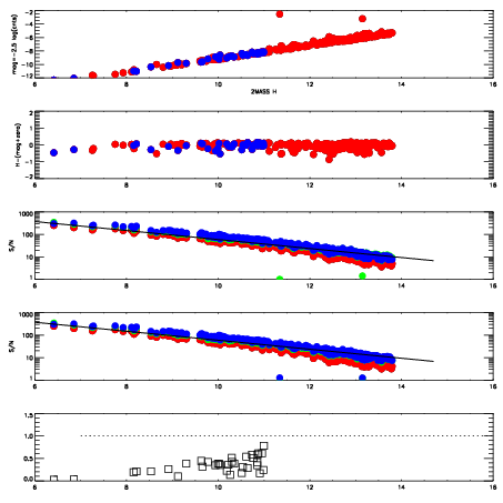
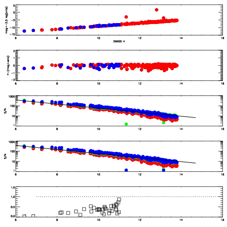
Frame | Nreads | Zeropoints | Mag plots
| Spatial mag deviation
| Spatial sky 16325A emission deviations (filled: sky, open: star)
| Spatial sky continuum emission
| Spatial sky telluric CO2 absorption deviations (filled: H < 10)
|
4900047
| 47
| | Red | Green | Blue
| z | | 19.04
| znorm | | 14.86
| sky | 14.3 | 14.0 | 13.8
| S/N | 14.5 | 23.4 | 23.6
| S/N(c) | 16.2 | 38.1 | 25.8
| SN(E/C) | 0.37
|
|
|
|
|
|
|
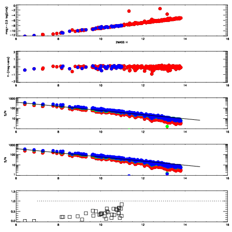
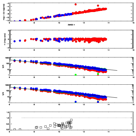
4900048
| 47
| | Red | Green | Blue
| z | | 18.95
| znorm | | 14.77
| sky | 13.5 | 13.5 | 13.5
| S/N | 13.1 | 21.4 | 22.1
| S/N(c) | 15.0 | 35.7 | 24.3
| SN(E/C) | 0.39
|
|
|
|
|
|
|
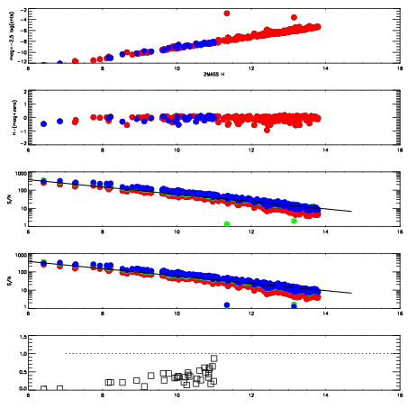
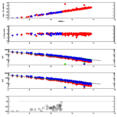
4900049
| 47
| | Red | Green | Blue
| z | | 19.16
| znorm | | 14.98
| sky | 14.5 | 14.3 | 14.1
| S/N | 15.3 | 25.3 | 26.3
| S/N(c) | 17.2 | 40.6 | 27.4
| SN(E/C) | 0.35
|
|
|
|
|
|
|
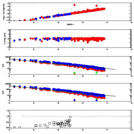
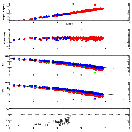
4900050
| 47
| | Red | Green | Blue
| z | | 19.20
| znorm | | 15.01
| sky | 14.3 | 14.3 | 14.2
| S/N | 15.8 | 25.8 | 26.9
| S/N(c) | 17.5 | 41.0 | 27.8
| SN(E/C) | 0.35
|
|
|
|
|
|
|
4900051
| 47
| | Red | Green | Blue
| z | | 19.17
| znorm | | 14.99
| sky | 14.3 | 14.3 | 14.1
| S/N | 15.8 | 25.8 | 26.9
| S/N(c) | 17.3 | 40.8 | 27.6
| SN(E/C) | 0.35
|
|
|
|
|
|
|
4900052
| 47
| | Red | Green | Blue
| z | | 19.12
| znorm | | 14.94
| sky | 14.6 | 14.2 | 14.1
| S/N | 15.7 | 25.4 | 26.3
| S/N(c) | 16.8 | 39.8 | 26.9
| SN(E/C) | 0.36
|
|
|
|
|
|
|
4900053
| 47
| | Red | Green | Blue
| z | | 19.11
| znorm | | 14.93
| sky | 14.4 | 14.3 | 14.0
| S/N | 15.2 | 25.2 | 25.6
| S/N(c) | 16.7 | 39.3 | 26.5
| SN(E/C) | 0.35
|
|
|
|
|
|
|
4900054
| 47
| | Red | Green | Blue
| z | | 19.12
| znorm | | 14.94
| sky | 14.3 | 14.3 | 14.1
| S/N | 15.1 | 25.3 | 25.6
| S/N(c) | 16.7 | 39.5 | 26.7
| SN(E/C) | 0.37
|
|
|
|
|
|
|