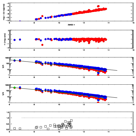
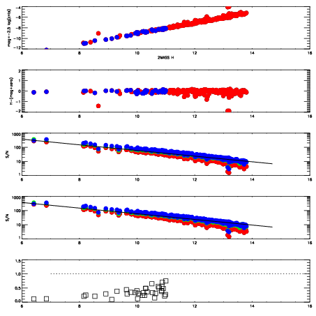
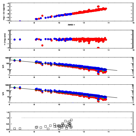
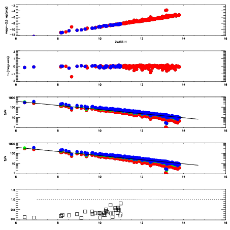
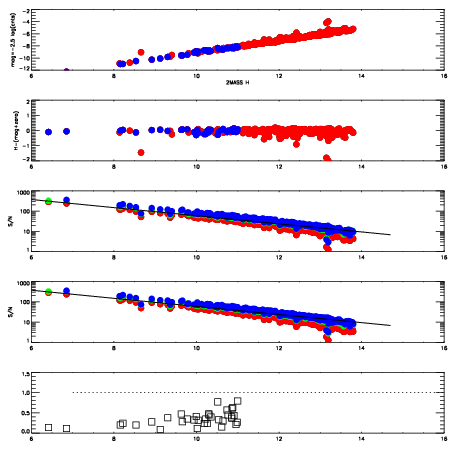
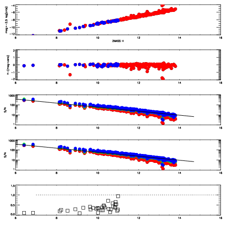
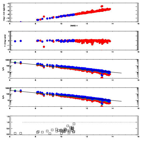
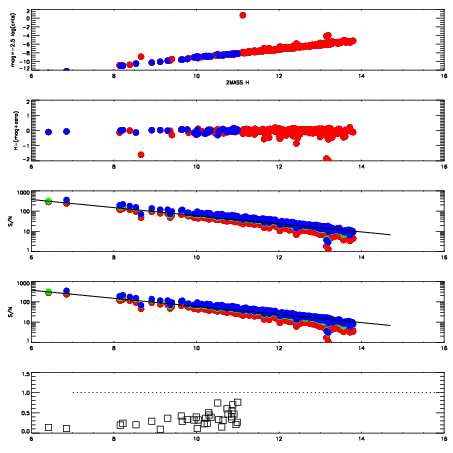
Frame | Nreads | Zeropoints | Mag plots
| Spatial mag deviation
| Spatial sky 16325A emission deviations (filled: sky, open: star)
| Spatial sky continuum emission
| Spatial sky telluric CO2 absorption deviations (filled: H < 10)
|
5150013
| 47
| | Red | Green | Blue
| z | | 19.10
| znorm | | 14.92
| sky | 14.4 | 14.2 | 14.1
| S/N | 15.0 | 24.1 | 25.2
| S/N(c) | 20.8 | 30.5 | 43.2
| SN(E/C) | 0.33
|
|
|
|
|
|
|
5150014
| 47
| | Red | Green | Blue
| z | | 19.14
| znorm | | 14.96
| sky | 14.6 | 14.4 | 14.5
| S/N | 15.3 | 24.3 | 26.0
| S/N(c) | 20.7 | 30.8 | 43.6
| SN(E/C) | 0.33
|
|
|
|
|
|
|
5150015
| 47
| | Red | Green | Blue
| z | | 19.15
| znorm | | 14.97
| sky | 14.4 | 14.6 | 14.7
| S/N | 15.0 | 24.5 | 26.2
| S/N(c) | 20.9 | 30.9 | 43.3
| SN(E/C) | 0.33
|
|
|
|
|
|
|
5150016
| 47
| | Red | Green | Blue
| z | | 19.12
| znorm | | 14.94
| sky | 14.6 | 14.6 | 14.7
| S/N | 14.7 | 23.9 | 25.9
| S/N(c) | 20.0 | 30.4 | 43.2
| SN(E/C) | 0.34
|
|
|
|
|
|
|
5150017
| 47
| | Red | Green | Blue
| z | | 19.13
| znorm | | 14.95
| sky | 14.5 | 14.5 | 14.6
| S/N | 14.8 | 24.2 | 26.1
| S/N(c) | 20.1 | 30.2 | 44.0
| SN(E/C) | 0.33
|
|
|
|
|
|
|
5150018
| 47
| | Red | Green | Blue
| z | | 19.16
| znorm | | 14.98
| sky | 14.3 | 14.5 | 14.6
| S/N | 15.1 | 24.3 | 26.6
| S/N(c) | 20.6 | 30.8 | 45.2
| SN(E/C) | 0.32
|
|
|
|
|
|
|
5150019
| 47
| | Red | Green | Blue
| z | | 19.19
| znorm | | 15.01
| sky | 14.4 | 14.5 | 14.5
| S/N | 15.5 | 25.0 | 27.2
| S/N(c) | 20.9 | 31.4 | 44.5
| SN(E/C) | 0.32
|
|
|
|
|
|
|
5150020
| 47
| | Red | Green | Blue
| z | | 19.19
| znorm | | 15.01
| sky | 14.4 | 14.4 | 14.5
| S/N | 15.5 | 25.3 | 27.3
| S/N(c) | 21.1 | 31.1 | 44.7
| SN(E/C) | 0.32
|
|
|
|
|
|
|