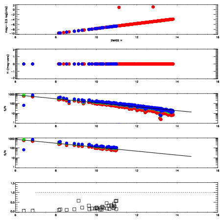
Left plots: red are targets, blue are telluric. Observed mags are calculated from median value of green chip. Zeropoint gives overall throughput: bigger number is more throughput.
First spatial plots: circles are objects, squares are tellurics, crosses are sky fibers. Colors give deviation of observed mag from expected 2MASS mag using the median zeropoint; red is brighter
Second spatial plots: circles are sky fibers. Colors give sky line brightness relative to plate median sky line brightness
FrameNreadsZeropointsMag plots Spatial mag deviation Spatial sky 16325A emission deviations (filled: sky, open: star) Spatial sky continuum emission Spatial sky telluric CO2 absorption deviations (filled: H < 10)
0 0
RedGreenBlue
z17.64
znorm Inf
sky -Inf -Inf -Inf
S/N 26.3 45.2 49.7
S/N(c) 0.0 0.0 0.0
SN(E/C) 0.21

IPAIRNAMESHIFTNEWSHIFTS/N NAMESHIFTNEWSHIFTS/N
0 05150019 0.501419 0.00000 19.1753 05150020 0.00296251 0.498457 19.1786
1 05150018 0.500179 0.00124002 19.1363 05150017 0.000525282 0.500894 19.1154
2 05150015 0.499710 0.00170901 19.1305 05150016 0.00184296 0.499576 19.0985
3 05150014 0.499341 0.00207800 19.1291 05150013 0.00000 0.501419 19.0799