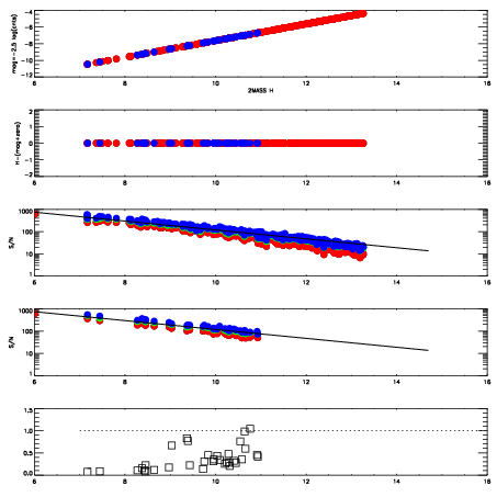
Left plots: red are targets, blue are telluric. Observed mags are calculated from median value of green chip. Zeropoint gives overall throughput: bigger number is more throughput.
First spatial plots: circles are objects, squares are tellurics, crosses are sky fibers. Colors give deviation of observed mag from expected 2MASS mag using the median zeropoint; red is brighter
Second spatial plots: circles are sky fibers. Colors give sky line brightness relative to plate median sky line brightness
FrameNreadsZeropointsMag plots Spatial mag deviation Spatial sky 16325A emission deviations (filled: sky, open: star) Spatial sky continuum emission Spatial sky telluric CO2 absorption deviations (filled: H < 10)
0 0
RedGreenBlue
z17.63
znorm Inf
sky -NaN -NaN -NaN
S/N 23.7 41.7 44.6
S/N(c) 0.0 0.0 0.0
SN(E/C) 0.31

IPAIRNAMESHIFTNEWSHIFTS/N NAMESHIFTNEWSHIFTS/N
0 04300031 0.492879 0.00000 18.8800 04300029 0.000774254 0.492105 18.7948
1 04300027 0.491116 0.00176302 19.0989 04300025 0.00000 0.492879 19.0210
2 04300026 0.490207 0.00267202 19.0480 04300032 0.00133812 0.491541 18.9975
3 04300030 0.492176 0.000703007 18.1321 04300028 0.00111937 0.491760 18.6249