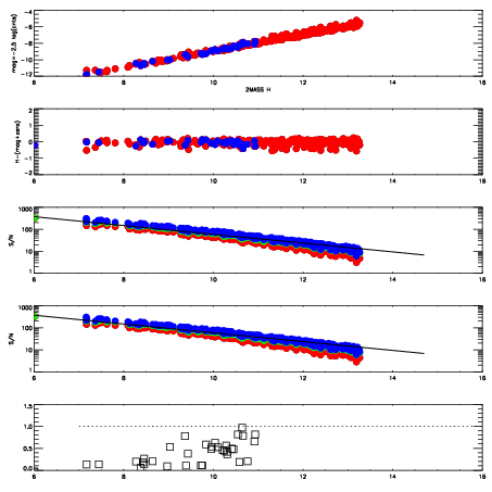
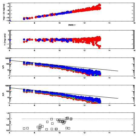
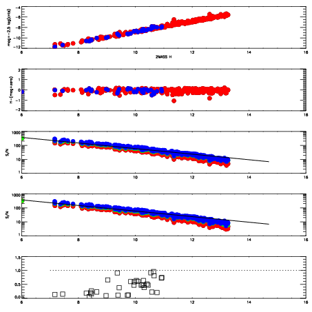
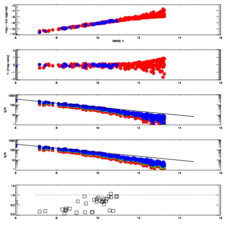
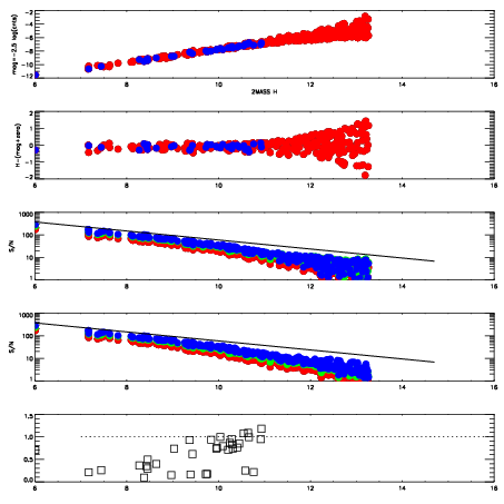
Frame | Nreads | Zeropoints | Mag plots
| Spatial mag deviation
| Spatial sky 16325A emission deviations (filled: sky, open: star)
| Spatial sky continuum emission
| Spatial sky telluric CO2 absorption deviations (filled: H < 10)
|
4910036
| 47
| | Red | Green | Blue
| z | | 18.89
| znorm | | 14.71
| sky | 13.0 | 12.9 | 12.8
| S/N | 12.1 | 19.3 | 21.0
| S/N(c) | 23.8 | 17.9 | 14.1
| SN(E/C) | 0.46
|
|
|
|
|
|
|
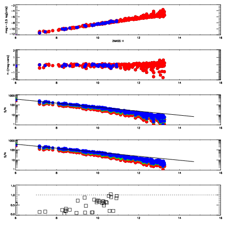
4910037
| 47
| | Red | Green | Blue
| z | | 18.29
| znorm | | 14.11
| sky | 11.7 | 11.6 | 11.6
| S/N | 7.2 | 11.8 | 12.4
| S/N(c) | 13.7 | 10.0 | 8.5
| SN(E/C) | 0.65
|
|
|
|
|
|
|
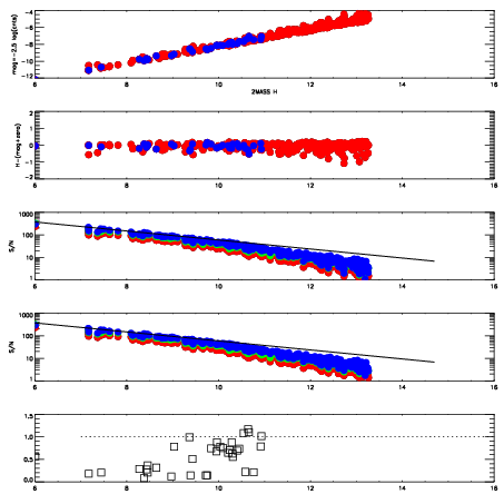
4910038
| 47
| | Red | Green | Blue
| z | | 17.82
| znorm | | 13.64
| sky | 11.5 | 11.4 | 11.4
| S/N | 4.9 | 7.9 | 8.6
| S/N(c) | 8.6 | 6.5 | 6.1
| SN(E/C) | 0.73
|
|
|
|
|
|
|
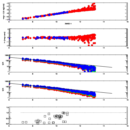
4910039
| 47
| | Red | Green | Blue
| z | | 17.97
| znorm | | 13.79
| sky | 11.5 | 11.4 | 11.5
| S/N | 4.7 | 8.0 | 8.2
| S/N(c) | 10.7 | 8.1 | 7.0
| SN(E/C) | 0.70
|
|
|
|
|
|
|
4910040
| 47
| | Red | Green | Blue
| z | | 18.52
| znorm | | 14.34
| sky | 11.8 | 11.8 | 11.8
| S/N | 8.2 | 13.1 | 14.8
| S/N(c) | 17.1 | 12.3 | 10.6
| SN(E/C) | 0.58
|
|
|
|
|
|
|
4910041
| 47
| | Red | Green | Blue
| z | | 18.24
| znorm | | 14.06
| sky | 11.6 | 11.5 | 11.6
| S/N | 5.8 | 9.0 | 10.7
| S/N(c) | 13.9 | 10.4 | 8.8
| SN(E/C) | 0.62
|
|
|
|
|
|
|
4910042
| 47
| | Red | Green | Blue
| z | | 18.45
| znorm | | 14.27
| sky | 11.9 | 11.8 | 11.8
| S/N | 7.8 | 13.1 | 12.3
| S/N(c) | 16.2 | 11.6 | 10.5
| SN(E/C) | 0.55
|
|
|
|
|
|
|
4910043
| 47
| | Red | Green | Blue
| z | | 18.97
| znorm | | 14.79
| sky | 13.2 | 13.0 | 13.0
| S/N | 13.2 | 21.1 | 23.6
| S/N(c) | 25.8 | 18.9 | 15.7
| SN(E/C) | 0.42
|
|
|
|
|
|
|