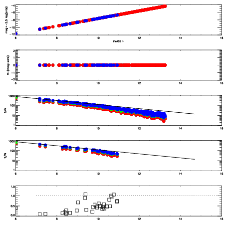
Left plots: red are targets, blue are telluric. Observed mags are calculated from median value of green chip. Zeropoint gives overall throughput: bigger number is more throughput.
First spatial plots: circles are objects, squares are tellurics, crosses are sky fibers. Colors give deviation of observed mag from expected 2MASS mag using the median zeropoint; red is brighter
Second spatial plots: circles are sky fibers. Colors give sky line brightness relative to plate median sky line brightness
FrameNreadsZeropointsMag plots Spatial mag deviation Spatial sky 16325A emission deviations (filled: sky, open: star) Spatial sky continuum emission Spatial sky telluric CO2 absorption deviations (filled: H < 10)
0 0
RedGreenBlue
z17.64
znorm Inf
sky -NaN -NaN -Inf
S/N 12.8 19.7 21.5
S/N(c) 0.0 0.0 0.0
SN(E/C) 0.44

IPAIRNAMESHIFTNEWSHIFTS/N NAMESHIFTNEWSHIFTS/N
0 04910042 0.486714 0.00000 18.3821 04910043 0.00257680 0.484137 18.9617
1 04910037 0.485445 0.00126901 18.2300 04910036 0.00000 0.486714 18.8619
2 04910041 0.485160 0.00155401 18.2200 04910040 0.000369907 0.486344 18.4780
3 04910038 0.486380 0.000333995 17.7102 04910039 0.00226225 0.484452 17.9220