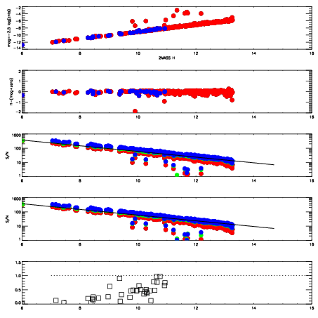
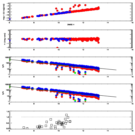
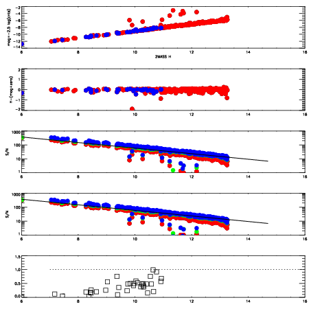
Frame | Nreads | Zeropoints | Mag plots
| Spatial mag deviation
| Spatial sky 16325A emission deviations (filled: sky, open: star)
| Spatial sky continuum emission
| Spatial sky telluric CO2 absorption deviations (filled: H < 10)
|
4870037
| 47
| | Red | Green | Blue
| z | | 19.10
| znorm | | 14.92
| sky | 14.7 | 14.4 | 14.4
| S/N | 15.9 | 24.7 | 25.4
| S/N(c) | 9.7 | 16.1 | 31.5
| SN(E/C) | 0.46
|
|
|
|
|
|
|
4870038
| 47
| | Red | Green | Blue
| z | | 19.10
| znorm | | 14.92
| sky | 14.7 | 14.5 | 14.7
| S/N | 16.0 | 24.7 | 25.9
| S/N(c) | 10.0 | 16.3 | 32.3
| SN(E/C) | 0.44
|
|
|
|
|
|
|
4870039
| 47
| | Red | Green | Blue
| z | | 19.12
| znorm | | 14.94
| sky | 14.6 | 14.4 | 14.6
| S/N | 16.4 | 25.1 | 27.0
| S/N(c) | 10.2 | 16.6 | 32.8
| SN(E/C) | 0.43
|
|
|
|
|
|
|
4870040
| 47
| | Red | Green | Blue
| z | | 19.10
| znorm | | 14.92
| sky | 14.7 | 14.5 | 14.7
| S/N | 16.1 | 24.8 | 26.8
| S/N(c) | 10.0 | 16.5 | 32.6
| SN(E/C) | 0.43
|
|
|
|
|
|
|
4870041
| 47
| | Red | Green | Blue
| z | | 19.10
| znorm | | 14.91
| sky | 14.7 | 14.5 | 14.7
| S/N | 15.8 | 24.9 | 26.9
| S/N(c) | 10.1 | 16.4 | 32.8
| SN(E/C) | 0.44
|
|
|
|
|
|
|
4870042
| 47
| | Red | Green | Blue
| z | | 19.11
| znorm | | 14.93
| sky | 14.6 | 14.6 | 14.7
| S/N | 16.0 | 24.9 | 27.2
| S/N(c) | 10.1 | 16.5 | 32.8
| SN(E/C) | 0.42
|
|
|
|
|
|
|
4870043
| 47
| | Red | Green | Blue
| z | | 19.13
| znorm | | 14.95
| sky | 14.7 | 14.6 | 14.8
| S/N | 16.4 | 25.2 | 27.8
| S/N(c) | 10.2 | 16.7 | 33.3
| SN(E/C) | 0.43
|
|
|
|
|
|
|
4870044
| 47
| | Red | Green | Blue
| z | | 19.11
| znorm | | 14.93
| sky | 14.7 | 14.6 | 14.7
| S/N | 16.2 | 25.0 | 27.8
| S/N(c) | 10.1 | 16.7 | 33.2
| SN(E/C) | 0.42
|
|
|
|
|
|
|