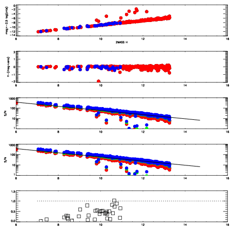
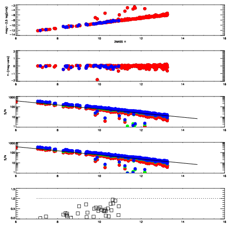
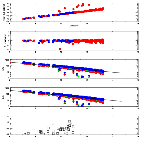
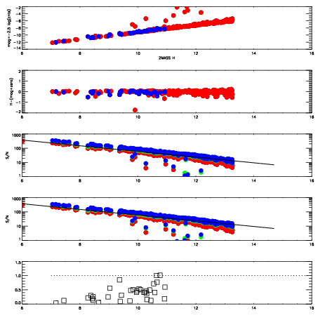
Frame | Nreads | Zeropoints | Mag plots
| Spatial mag deviation
| Spatial sky 16325A emission deviations (filled: sky, open: star)
| Spatial sky continuum emission
| Spatial sky telluric CO2 absorption deviations (filled: H < 10)
|
4920032
| 47
| | Red | Green | Blue
| z | | 19.14
| znorm | | 14.96
| sky | 14.1 | 14.0 | 13.8
| S/N | 16.7 | 25.9 | 25.9
| S/N(c) | 28.7 | 7.7 | 16.6
| SN(E/C) | 0.40
|
|
|
|
|
|
|
4920033
| 47
| | Red | Green | Blue
| z | | 19.15
| znorm | | 14.96
| sky | 14.1 | 13.9 | 14.1
| S/N | 16.4 | 25.4 | 27.1
| S/N(c) | 28.8 | 7.8 | 17.0
| SN(E/C) | 0.39
|
|
|
|
|
|
|
4920034
| 47
| | Red | Green | Blue
| z | | 19.17
| znorm | | 14.99
| sky | 14.2 | 14.1 | 14.2
| S/N | 17.0 | 26.5 | 27.9
| S/N(c) | 29.2 | 7.9 | 17.5
| SN(E/C) | 0.41
|
|
|
|
|
|
|
4920035
| 47
| | Red | Green | Blue
| z | | 19.19
| znorm | | 15.01
| sky | 14.2 | 14.1 | 14.2
| S/N | 16.9 | 26.8 | 28.2
| S/N(c) | 29.5 | 8.0 | 17.8
| SN(E/C) | 0.39
|
|
|
|
|
|
|
4920036
| 47
| | Red | Green | Blue
| z | | 19.20
| znorm | | 15.02
| sky | 14.3 | 14.1 | 14.1
| S/N | 16.9 | 27.1 | 28.5
| S/N(c) | 29.5 | 8.0 | 18.0
| SN(E/C) | 0.41
|
|
|
|
|
|
|
4920037
| 47
| | Red | Green | Blue
| z | | 19.19
| znorm | | 15.01
| sky | 14.2 | 14.1 | 14.2
| S/N | 16.9 | 26.7 | 28.4
| S/N(c) | 29.4 | 8.0 | 17.8
| SN(E/C) | 0.41
|
|
|
|
|
|
|
4920038
| 47
| | Red | Green | Blue
| z | | 19.17
| znorm | | 14.99
| sky | 14.5 | 14.1 | 14.2
| S/N | 16.5 | 26.8 | 28.3
| S/N(c) | 29.0 | 7.9 | 17.9
| SN(E/C) | 0.41
|
|
|
|
|
|
|
4920039
| 47
| | Red | Green | Blue
| z | | 19.18
| znorm | | 15.00
| sky | 14.1 | 14.1 | 14.3
| S/N | 16.7 | 26.9 | 28.5
| S/N(c) | 29.2 | 7.9 | 18.0
| SN(E/C) | 0.39
|
|
|
|
|
|
|