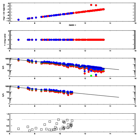
Left plots: red are targets, blue are telluric. Observed mags are calculated from median value of green chip. Zeropoint gives overall throughput: bigger number is more throughput.
First spatial plots: circles are objects, squares are tellurics, crosses are sky fibers. Colors give deviation of observed mag from expected 2MASS mag using the median zeropoint; red is brighter
Second spatial plots: circles are sky fibers. Colors give sky line brightness relative to plate median sky line brightness
FrameNreadsZeropointsMag plots Spatial mag deviation Spatial sky 16325A emission deviations (filled: sky, open: star) Spatial sky continuum emission Spatial sky telluric CO2 absorption deviations (filled: H < 10)
0 0
RedGreenBlue
z17.64
znorm Inf
sky -Inf -Inf -Inf
S/N 24.8 41.1 50.5
S/N(c) 0.0 0.0 0.0
SN(E/C) 0.38

IPAIRNAMESHIFTNEWSHIFTS/N NAMESHIFTNEWSHIFTS/N
0 04600060 0.499628 0.00000 18.9761 04600061 -0.00157298 0.501201 19.0015
1 04600059 0.494137 0.00549102 19.0246 04600065 -0.000514535 0.500143 19.1217
2 04600064 0.498400 0.00122800 19.0118 04600058 0.00000 0.499628 19.0018
3 04600063 0.492582 0.00704601 18.7834 04600062 -0.00122832 0.500856 18.5011