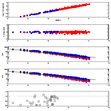
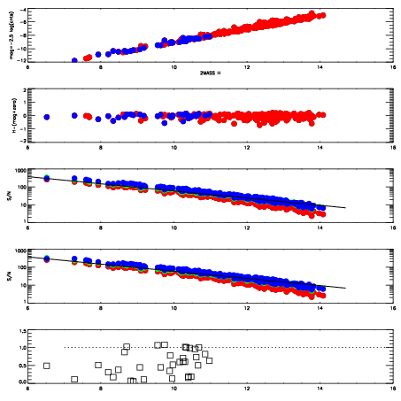
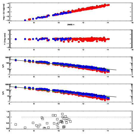
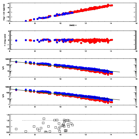
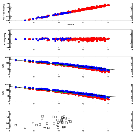
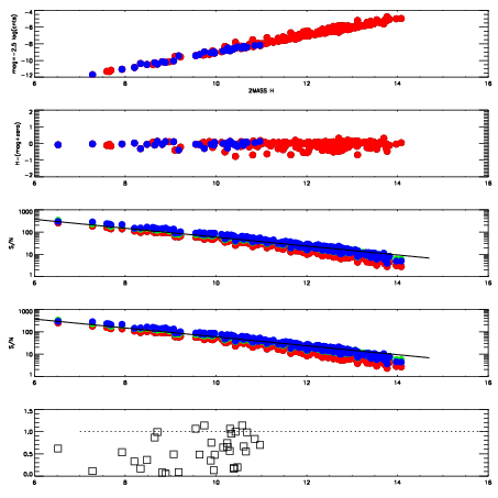
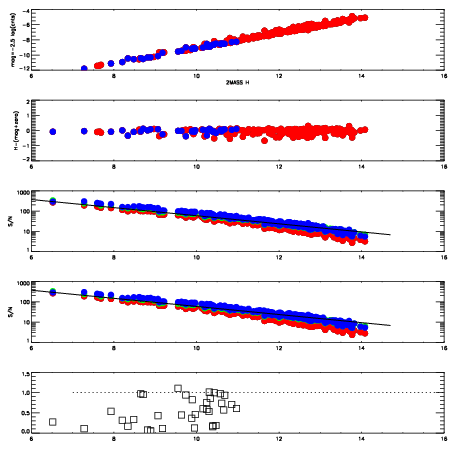
Frame | Nreads | Zeropoints | Mag plots
| Spatial mag deviation
| Spatial sky 16325A emission deviations (filled: sky, open: star)
| Spatial sky continuum emission
| Spatial sky telluric CO2 absorption deviations (filled: H < 10)
|
5150039
| 47
| | Red | Green | Blue
| z | | 19.01
| znorm | | 14.83
| sky | 14.2 | 14.0 | 13.8
| S/N | 13.5 | 21.9 | 21.6
| S/N(c) | 14.2 | 29.9 | 3.8
| SN(E/C) | 0.56
|
|
|
|
|
|
|
5150040
| 47
| | Red | Green | Blue
| z | | 19.05
| znorm | | 14.87
| sky | 14.3 | 14.0 | 14.1
| S/N | 14.1 | 22.0 | 22.8
| S/N(c) | 14.6 | 30.4 | 3.9
| SN(E/C) | 0.53
|
|
|
|
|
|
|
5150041
| 47
| | Red | Green | Blue
| z | | 19.12
| znorm | | 14.94
| sky | 14.4 | 14.2 | 14.1
| S/N | 14.1 | 22.5 | 23.3
| S/N(c) | 15.2 | 31.5 | 4.1
| SN(E/C) | 0.53
|
|
|
|
|
|
|
5150042
| 47
| | Red | Green | Blue
| z | | 19.08
| znorm | | 14.90
| sky | 14.3 | 14.2 | 14.3
| S/N | 13.9 | 21.8 | 23.1
| S/N(c) | 15.0 | 31.1 | 4.0
| SN(E/C) | 0.51
|
|
|
|
|
|
|
5150043
| 47
| | Red | Green | Blue
| z | | 19.09
| znorm | | 14.91
| sky | 14.5 | 14.3 | 14.3
| S/N | 14.2 | 22.4 | 23.7
| S/N(c) | 15.0 | 31.4 | 4.1
| SN(E/C) | 0.54
|
|
|
|
|
|
|
5150044
| 47
| | Red | Green | Blue
| z | | 19.10
| znorm | | 14.92
| sky | 14.7 | 14.2 | 14.4
| S/N | 14.1 | 22.7 | 23.8
| S/N(c) | 15.0 | 31.3 | 4.2
| SN(E/C) | 0.52
|
|
|
|
|
|
|
5150045
| 47
| | Red | Green | Blue
| z | | 19.11
| znorm | | 14.93
| sky | 14.5 | 14.5 | 14.6
| S/N | 14.6 | 24.0 | 24.7
| S/N(c) | 14.8 | 31.7 | 4.2
| SN(E/C) | 0.51
|
|
|
|
|
|
|
5150046
| 47
| | Red | Green | Blue
| z | | 19.07
| znorm | | 14.89
| sky | 14.4 | 14.3 | 14.5
| S/N | 14.2 | 23.9 | 25.2
| S/N(c) | 14.9 | 31.2 | 4.2
| SN(E/C) | 0.52
|
|
|
|
|
|
|