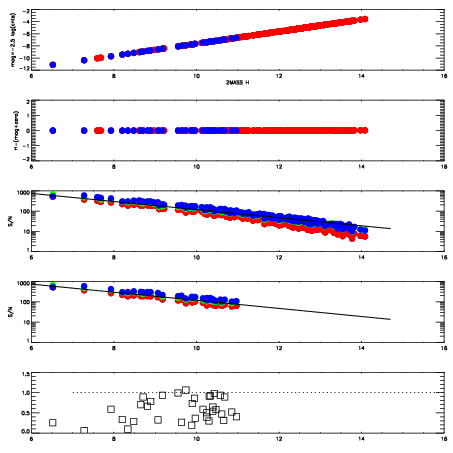
Left plots: red are targets, blue are telluric. Observed mags are calculated from median value of green chip. Zeropoint gives overall throughput: bigger number is more throughput.
First spatial plots: circles are objects, squares are tellurics, crosses are sky fibers. Colors give deviation of observed mag from expected 2MASS mag using the median zeropoint; red is brighter
Second spatial plots: circles are sky fibers. Colors give sky line brightness relative to plate median sky line brightness
FrameNreadsZeropointsMag plots Spatial mag deviation Spatial sky 16325A emission deviations (filled: sky, open: star) Spatial sky continuum emission Spatial sky telluric CO2 absorption deviations (filled: H < 10)
0 0
RedGreenBlue
z17.64
znorm Inf
sky -Inf -Inf -Inf
S/N 23.6 41.0 43.2
S/N(c) 0.0 0.0 0.0
SN(E/C) 0.58

IPAIRNAMESHIFTNEWSHIFTS/N NAMESHIFTNEWSHIFTS/N
0 05150045 0.499761 0.00000 19.1062 05150042 0.00185581 0.497905 19.0771
1 05150041 0.496536 0.00322500 19.1164 05150043 -0.00146518 0.501226 19.0910
2 05150044 0.497305 0.00245598 19.0957 05150046 0.00160948 0.498152 19.0660
3 05150040 0.495349 0.00441200 19.0468 05150039 0.00000 0.499761 19.0115