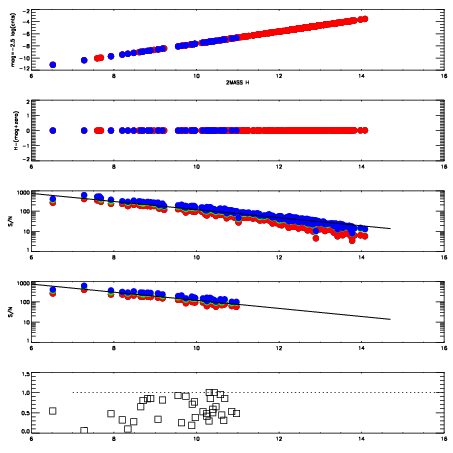
Left plots: red are targets, blue are telluric. Observed mags are calculated from median value of green chip. Zeropoint gives overall throughput: bigger number is more throughput.
First spatial plots: circles are objects, squares are tellurics, crosses are sky fibers. Colors give deviation of observed mag from expected 2MASS mag using the median zeropoint; red is brighter
Second spatial plots: circles are sky fibers. Colors give sky line brightness relative to plate median sky line brightness
FrameNreadsZeropointsMag plots Spatial mag deviation Spatial sky 16325A emission deviations (filled: sky, open: star) Spatial sky continuum emission Spatial sky telluric CO2 absorption deviations (filled: H < 10)
0 0
RedGreenBlue
z17.64
znorm Inf
sky -Inf -Inf -Inf
S/N 25.1 44.2 45.6
S/N(c) 0.0 0.0 0.0
SN(E/C) 0.53

IPAIRNAMESHIFTNEWSHIFTS/N NAMESHIFTNEWSHIFTS/N
0 05250017 0.491084 0.00000 19.0795 05250018 0.00294127 0.488143 19.0809
1 05250013 0.490093 0.000991017 19.0956 05250011 0.00000 0.491084 19.1293
2 05250012 0.489052 0.00203201 19.0710 05250014 0.000883744 0.490200 18.9834
3 05250016 0.490937 0.000147015 19.0330 05250015 0.00216944 0.488915 18.9738